por Claudin » Qua Set 07, 2011 21:47
Gostaria de saber, sobre o simbolismo matemático na hora de representar soluções principalmente de inequações, quando utiliza-se parentese (), quando é colchete [], e também gostaria de saber sobre o "e" que simboliza o pertence, quando este "e" está invertido com um traço, ele significa o que?
"O que sabemos é uma gota, o que não sabemos é um oceano." - Isaac Newton
-
Claudin
- Colaborador Voluntário

-
- Mensagens: 913
- Registrado em: Qui Mai 12, 2011 17:34
- Formação Escolar: GRADUAÇÃO
- Área/Curso: Engenharia Elétrica
- Andamento: cursando
por MarceloFantini » Qua Set 07, 2011 22:04
Usamos parênteses quando o intervalo é aberto em algum extremo, ou seja, não contém o ponto. O colchete é quando o intervalo é fechado em algum extremo, logo contém o ponto. Sobre os símbolos: você fala deste

ou deste

?
Futuro MATEMÁTICO
-
MarceloFantini
- Colaborador Moderador

-
- Mensagens: 3126
- Registrado em: Seg Dez 14, 2009 11:41
- Formação Escolar: GRADUAÇÃO
- Andamento: formado
por Claudin » Qua Set 07, 2011 22:25
gostaria de saber o significado dos dois.
ps: o topico foi criado uas vezes, devido a falha na conexão, peço que apaguem um para melhor estética e organização do fórum!
"O que sabemos é uma gota, o que não sabemos é um oceano." - Isaac Newton
-
Claudin
- Colaborador Voluntário

-
- Mensagens: 913
- Registrado em: Qui Mai 12, 2011 17:34
- Formação Escolar: GRADUAÇÃO
- Área/Curso: Engenharia Elétrica
- Andamento: cursando
por MarceloFantini » Qua Set 07, 2011 22:28
O primeiro significa não pertence. Em geral, um símbolo com um traço quer dizer sua negação, então = significa igual,

significa diferente. No caso do segundo,

significa existe e portanto

significa não existe.
Futuro MATEMÁTICO
-
MarceloFantini
- Colaborador Moderador

-
- Mensagens: 3126
- Registrado em: Seg Dez 14, 2009 11:41
- Formação Escolar: GRADUAÇÃO
- Andamento: formado
por Claudin » Qua Set 07, 2011 22:38
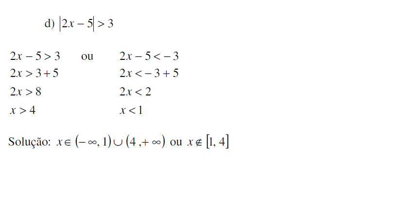
Então como podeia me explicar sobre o sinal de nao pertence nesta solução sendo que foi encontrado resultado e na solução disse que nao pertence
- Anexos
-

"O que sabemos é uma gota, o que não sabemos é um oceano." - Isaac Newton
-
Claudin
- Colaborador Voluntário

-
- Mensagens: 913
- Registrado em: Qui Mai 12, 2011 17:34
- Formação Escolar: GRADUAÇÃO
- Área/Curso: Engenharia Elétrica
- Andamento: cursando
por MarceloFantini » Qua Set 07, 2011 22:57
O conjunto
![[1,4] [1,4]](/latexrender/pictures/94fe668c80113341416b96929a8f1024.png)
é simplesmente o complementar de

. Se

, então

, que é seu complementar.
Futuro MATEMÁTICO
-
MarceloFantini
- Colaborador Moderador

-
- Mensagens: 3126
- Registrado em: Seg Dez 14, 2009 11:41
- Formação Escolar: GRADUAÇÃO
- Andamento: formado
por Claudin » Qui Set 08, 2011 02:13
"O que sabemos é uma gota, o que não sabemos é um oceano." - Isaac Newton
-
Claudin
- Colaborador Voluntário

-
- Mensagens: 913
- Registrado em: Qui Mai 12, 2011 17:34
- Formação Escolar: GRADUAÇÃO
- Área/Curso: Engenharia Elétrica
- Andamento: cursando
Voltar para Inequações
Se chegou até aqui, provavelmente tenha interesse pelos tópicos relacionados abaixo.
Aproveite a leitura. Bons estudos!
-
- Linguagem matematica e algebra
por luiz syncode » Sex Jul 01, 2011 12:07
- 4 Respostas
- 2156 Exibições
- Última mensagem por LuizAquino

Ter Jul 05, 2011 23:04
Álgebra Elementar
-
- Linguagem algébrica
por Renatinha » Seg Nov 01, 2010 01:22
- 7 Respostas
- 5151 Exibições
- Última mensagem por girl

Ter Nov 02, 2010 14:06
Álgebra Elementar
-
- Linguagem algébrica
por Renatinha » Ter Nov 02, 2010 14:13
- 4 Respostas
- 4346 Exibições
- Última mensagem por Dinora

Dom Nov 07, 2010 23:24
Álgebra Elementar
-
- Matemática Financeira: matemática
por Victor Gabriel » Sex Mai 10, 2013 02:49
- 1 Respostas
- 3027 Exibições
- Última mensagem por killua05

Qua Mai 29, 2013 13:49
Matemática Financeira
-
- matemática
por sandi » Sáb Set 26, 2009 02:31
- 8 Respostas
- 5708 Exibições
- Última mensagem por sandi

Ter Set 29, 2009 20:41
Matemática Financeira
Usuários navegando neste fórum: Nenhum usuário registrado e 1 visitante
Assunto:
Princípio da Indução Finita
Autor:
Fontelles - Dom Jan 17, 2010 14:42
Não sei onde este tópico se encaixaria. Então me desculpem.
Eu não entendi essa passagem, alguém pode me explicar?

O livro explica da seguinte forma.
1°) P(1) é verdadeira, pois

2°) Admitamos que

, seja verdadeira:

(hipótese da indução)
e provemos que

Temos: (Nessa parte)

Assunto:
Princípio da Indução Finita
Autor:
MarceloFantini - Seg Jan 18, 2010 01:55
Boa noite Fontelles.
Não sei se você está familiarizado com o
Princípio da Indução Finita, portanto vou tentar explicar aqui.
Ele dá uma equação, no caso:
E pergunta: ela vale para todo n? Como proceder: no primeiro passo, vemos se existe pelo menos um caso na qual ela é verdadeira:
Portanto, existe pelo menos um caso para o qual ela é verdadeira. Agora, supomos que

seja verdadeiro, e pretendemos provar que também é verdadeiro para

.
Daí pra frente, ele usou o primeiro membro para chegar em uma conclusão que validava a tese. Lembre-se: nunca saia da tese.
Espero ter ajudado.
Um abraço.
Assunto:
Princípio da Indução Finita
Autor:
Fontelles - Seg Jan 18, 2010 02:28
Mas, Fantini, ainda fiquei em dúvida na passagem que o autor fez (deixei uma msg entre o parêntese).
Obrigado pela ajuda, mesmo assim.
Abraço!
Assunto:
Princípio da Indução Finita
Autor:
Fontelles - Qui Jan 21, 2010 11:32
Galera, ajuda aí!
Por falar nisso, alguém conhece algum bom material sobre o assunto. O livro do Iezzi, Matemática Elementar vol. 1 não está tão bom.
Assunto:
Princípio da Indução Finita
Autor:
MarceloFantini - Qui Jan 21, 2010 12:25
Boa tarde Fontelles!
Ainda não estou certo de qual é a sua dúvida, mas tentarei novamente.
O que temos que provar é isso:

, certo? O autor começou do primeiro membro:
Isso é verdadeiro, certo? Ele apenas aplicou a distributiva. Depois, partiu para uma desigualdade:
Que é outra verdade. Agora, com certeza:
Agora, como

é

a

, e este por sua vez é sempre

que

, logo:
Inclusive, nunca é igual, sempre maior.
Espero (dessa vez) ter ajudado.
Um abraço.
Assunto:
Princípio da Indução Finita
Autor:
Caeros - Dom Out 31, 2010 10:39
Por curiosidade estava estudando indução finita e ao analisar a questão realmente utilizar a desigualdade apresentada foi uma grande sacada para este problema, só queria tirar uma dúvida sobre a sigla (c.q.d), o que significa mesmo?
Assunto:
Princípio da Indução Finita
Autor:
andrefahl - Dom Out 31, 2010 11:37
c.q.d. = como queriamos demonstrar =)
Assunto:
Princípio da Indução Finita
Autor:
Abelardo - Qui Mai 05, 2011 17:33
Fontelles, um bom livro para quem ainda está ''pegando'' o assunto é:'' Manual de Indução Matemática - Luís Lopes''. É baratinho e encontras na net com facilidade. Procura também no site da OBM, vais encontrar com facilidade material sobre PIF... em alguns sites que preparam alunos para colégios militares em geral também tem excelentes materiais.
Assunto:
Princípio da Indução Finita
Autor:
MarceloFantini - Qui Mai 05, 2011 20:05
Abelardo, faz 1 ano que o Fontelles não visita o site, da próxima vez verifique as datas.
Assunto:
Princípio da Indução Finita
Autor:
Vennom - Qui Abr 26, 2012 23:04
MarceloFantini escreveu:Abelardo, faz 1 ano que o Fontelles não visita o site, da próxima vez verifique as datas.
Rpz, faz um ano que o fulano não visita o site, mas ler esse comentário dele enquanto respondia a outro tópico me ajudou. hAUEhUAEhUAEH obrigado, Marcelo. Sua explicação de indução finita me sanou uma dúvida sobre outra coisa.

Powered by phpBB © phpBB Group.
phpBB Mobile / SEO by Artodia.