por giboia90 » Sex Dez 23, 2011 23:20
oi
- Anexos
-

-
giboia90
- Usuário Dedicado

-
- Mensagens: 32
- Registrado em: Dom Dez 04, 2011 01:06
- Formação Escolar: GRADUAÇÃO
- Área/Curso: engeharia civil
- Andamento: cursando
por Renato_RJ » Sex Dez 23, 2011 23:48
Boa noite !!
O log f vem do fato do cara que resolveu a conta ter feito a integral do lado esquerdo da igualdade, em 7, em relação a f e do lado direito em relação a x, veja:

Tranquilo ?
Iniciando a minha "caminhada" pela matemática agora... Tenho muito o quê aprender...
-

Renato_RJ
- Colaborador Voluntário

-
- Mensagens: 306
- Registrado em: Qui Jan 06, 2011 15:47
- Formação Escolar: PÓS-GRADUAÇÃO
- Área/Curso: Mestrado em Matemática
- Andamento: cursando
por giboia90 » Dom Dez 25, 2011 15:05
Renato_RJ escreveu:Boa noite !!
O log f vem do fato do cara que resolveu a conta ter feito a integral do lado esquerdo da igualdade, em 7, em relação a f e do lado direito em relação a x, veja:

Tranquilo ?
tem como refaze -la bem mais facil e a detalhação da integral. eu agradeceria muito.
-
giboia90
- Usuário Dedicado

-
- Mensagens: 32
- Registrado em: Dom Dez 04, 2011 01:06
- Formação Escolar: GRADUAÇÃO
- Área/Curso: engeharia civil
- Andamento: cursando
por Renato_RJ » Qua Dez 28, 2011 23:54
Essa integral é básica, pois a derivada de ln (x) é

e eu não lembro a demonstração dela.. rssss.....
Abraços,
Renato.
Iniciando a minha "caminhada" pela matemática agora... Tenho muito o quê aprender...
-

Renato_RJ
- Colaborador Voluntário

-
- Mensagens: 306
- Registrado em: Qui Jan 06, 2011 15:47
- Formação Escolar: PÓS-GRADUAÇÃO
- Área/Curso: Mestrado em Matemática
- Andamento: cursando
por MarceloFantini » Qui Dez 29, 2011 12:37
Use integração por partes. Além disso, por favor não poste imagens e sim digite a questão.
Futuro MATEMÁTICO
-
MarceloFantini
- Colaborador Moderador

-
- Mensagens: 3126
- Registrado em: Seg Dez 14, 2009 11:41
- Formação Escolar: GRADUAÇÃO
- Andamento: formado
por giboia90 » Dom Fev 19, 2012 01:41
poderia resolve- la de mode detalhada. e como o d multiplica o log de F. e onde sai esse c.
-
giboia90
- Usuário Dedicado

-
- Mensagens: 32
- Registrado em: Dom Dez 04, 2011 01:06
- Formação Escolar: GRADUAÇÃO
- Área/Curso: engeharia civil
- Andamento: cursando
por LuizAquino » Dom Fev 19, 2012 08:45
giboia90 escreveu:poderia resolve- la de mode detalhada.
A solução já está detalhada! Todos os passos foram exibidos.
giboia90 escreveu:e como o d multiplica o log de F. e onde sai esse c.
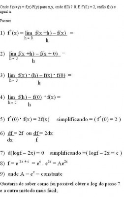
No passo 1) começamos com a expressão para

, sendo que após todas as simplificações nós obtemos no final do passo 5) que essa expressão é equivalente a

.
Conclusão:

Podemos reescrever essa conclusão no seguinte formato:

Agora note que o primeiro membro dessa equação é o resultado da derivada:
Observação: Na resolução enviada por você, o logaritmo natural foi representado por "log" ao invés de "ln".
Por outro lado, sabemos que se o resultado de uma derivada é igual a 0, então é porque a função que derivamos era constante.
Voltando para a equação, nós temos que:
![\left[\ln f(x) - 2x\right]^\prime = 0 \left[\ln f(x) - 2x\right]^\prime = 0](/latexrender/pictures/a4f68d7a3f1954d16d6eadcaaefc8d32.png)
Ou seja, o resultado da derivada é igual a 0. Sendo assim, devemos ter que

é igual a uma constante. Vamos chamar essa constante de c. Podemos então escrever que:

Agora note que toda essa argumentação poderia ser reescrita na notação de Leibniz, que usa aquele "d" para representar a derivada.
-

LuizAquino
- Colaborador Moderador - Professor

-
- Mensagens: 2654
- Registrado em: Sex Jan 21, 2011 09:11
- Localização: Teófilo Otoni - MG
- Formação Escolar: PÓS-GRADUAÇÃO
- Área/Curso: Mestrado - Modelagem Computacional
- Andamento: formado
-
Voltar para Cálculo: Limites, Derivadas e Integrais
Se chegou até aqui, provavelmente tenha interesse pelos tópicos relacionados abaixo.
Aproveite a leitura. Bons estudos!
-
- Determinante de Matriz por Meio de Triangulação
por elisafrombrazil » Dom Jan 29, 2017 20:59
- 1 Respostas
- 15355 Exibições
- Última mensagem por petras

Seg Jan 30, 2017 19:11
Álgebra Linear
-
- Obtenção de séries por meio de manipulações algébricas
por Aprendiz2012 » Qui Nov 22, 2012 15:15
- 3 Respostas
- 1971 Exibições
- Última mensagem por MarceloFantini

Qui Nov 22, 2012 19:54
Cálculo: Limites, Derivadas e Integrais
-
- [Derivada]Dúvidas em simplificação
por maurosilva7 » Qui Mai 28, 2015 21:48
- 3 Respostas
- 2329 Exibições
- Última mensagem por nakagumahissao

Seg Jul 27, 2015 13:02
Cálculo: Limites, Derivadas e Integrais
-
- DÚVIDAS EXERCÍCIOS DERIVADA PARCIAL
por vitorvnm » Dom Jun 07, 2015 22:20
- 1 Respostas
- 2353 Exibições
- Última mensagem por Cleyson007

Seg Jun 08, 2015 10:16
Cálculo: Limites, Derivadas e Integrais
-
- [Derivada] Função Implicita-duvidas na resoluão.
por fabriel » Dom Mar 17, 2013 01:11
- 3 Respostas
- 2082 Exibições
- Última mensagem por e8group

Dom Mar 17, 2013 14:39
Cálculo: Limites, Derivadas e Integrais
Usuários navegando neste fórum: Nenhum usuário registrado e 2 visitantes
Assunto:
Princípio da Indução Finita
Autor:
Fontelles - Dom Jan 17, 2010 14:42
Não sei onde este tópico se encaixaria. Então me desculpem.
Eu não entendi essa passagem, alguém pode me explicar?

O livro explica da seguinte forma.
1°) P(1) é verdadeira, pois

2°) Admitamos que

, seja verdadeira:

(hipótese da indução)
e provemos que

Temos: (Nessa parte)

Assunto:
Princípio da Indução Finita
Autor:
MarceloFantini - Seg Jan 18, 2010 01:55
Boa noite Fontelles.
Não sei se você está familiarizado com o
Princípio da Indução Finita, portanto vou tentar explicar aqui.
Ele dá uma equação, no caso:
E pergunta: ela vale para todo n? Como proceder: no primeiro passo, vemos se existe pelo menos um caso na qual ela é verdadeira:
Portanto, existe pelo menos um caso para o qual ela é verdadeira. Agora, supomos que

seja verdadeiro, e pretendemos provar que também é verdadeiro para

.
Daí pra frente, ele usou o primeiro membro para chegar em uma conclusão que validava a tese. Lembre-se: nunca saia da tese.
Espero ter ajudado.
Um abraço.
Assunto:
Princípio da Indução Finita
Autor:
Fontelles - Seg Jan 18, 2010 02:28
Mas, Fantini, ainda fiquei em dúvida na passagem que o autor fez (deixei uma msg entre o parêntese).
Obrigado pela ajuda, mesmo assim.
Abraço!
Assunto:
Princípio da Indução Finita
Autor:
Fontelles - Qui Jan 21, 2010 11:32
Galera, ajuda aí!
Por falar nisso, alguém conhece algum bom material sobre o assunto. O livro do Iezzi, Matemática Elementar vol. 1 não está tão bom.
Assunto:
Princípio da Indução Finita
Autor:
MarceloFantini - Qui Jan 21, 2010 12:25
Boa tarde Fontelles!
Ainda não estou certo de qual é a sua dúvida, mas tentarei novamente.
O que temos que provar é isso:

, certo? O autor começou do primeiro membro:
Isso é verdadeiro, certo? Ele apenas aplicou a distributiva. Depois, partiu para uma desigualdade:
Que é outra verdade. Agora, com certeza:
Agora, como

é

a

, e este por sua vez é sempre

que

, logo:
Inclusive, nunca é igual, sempre maior.
Espero (dessa vez) ter ajudado.
Um abraço.
Assunto:
Princípio da Indução Finita
Autor:
Caeros - Dom Out 31, 2010 10:39
Por curiosidade estava estudando indução finita e ao analisar a questão realmente utilizar a desigualdade apresentada foi uma grande sacada para este problema, só queria tirar uma dúvida sobre a sigla (c.q.d), o que significa mesmo?
Assunto:
Princípio da Indução Finita
Autor:
andrefahl - Dom Out 31, 2010 11:37
c.q.d. = como queriamos demonstrar =)
Assunto:
Princípio da Indução Finita
Autor:
Abelardo - Qui Mai 05, 2011 17:33
Fontelles, um bom livro para quem ainda está ''pegando'' o assunto é:'' Manual de Indução Matemática - Luís Lopes''. É baratinho e encontras na net com facilidade. Procura também no site da OBM, vais encontrar com facilidade material sobre PIF... em alguns sites que preparam alunos para colégios militares em geral também tem excelentes materiais.
Assunto:
Princípio da Indução Finita
Autor:
MarceloFantini - Qui Mai 05, 2011 20:05
Abelardo, faz 1 ano que o Fontelles não visita o site, da próxima vez verifique as datas.
Assunto:
Princípio da Indução Finita
Autor:
Vennom - Qui Abr 26, 2012 23:04
MarceloFantini escreveu:Abelardo, faz 1 ano que o Fontelles não visita o site, da próxima vez verifique as datas.
Rpz, faz um ano que o fulano não visita o site, mas ler esse comentário dele enquanto respondia a outro tópico me ajudou. hAUEhUAEhUAEH obrigado, Marcelo. Sua explicação de indução finita me sanou uma dúvida sobre outra coisa.

Powered by phpBB © phpBB Group.
phpBB Mobile / SEO by Artodia.