por andersontricordiano » Ter Jan 10, 2012 01:41
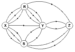
Observe o diagrama.
Qual é o numero de ligações distintas entre X e Z

- ligações.png (1.65 KiB) Exibido 5538 vezes
-
andersontricordiano
- Colaborador Voluntário

-
- Mensagens: 192
- Registrado em: Sex Mar 04, 2011 23:02
- Formação Escolar: ENSINO MÉDIO
- Andamento: formado
por ant_dii » Ter Jan 10, 2012 02:44
Bom, o método que sei é trabalhoso, mas no momento não to conseguindo lembrar de outro.
Caso esteja perguntando em relação as setas:
Considerando que todas as setas apontam na direção de X, vamos contar os casos:
de Y pra Z há 2 modos
de R pra Z há 1 modo direto
há

modos indo por Y
de S pra Z há 2 modos diretos
há

modos indo por Y
de X pra Z há 3 modos indo por R direto
há

modos indo por R e Y
há 2 modos indo por Y
há 6 modos indo por S
há

modos indo por S e Y
Portanto, há 3+18+2+6+12=41 modos diferentes.
Caso esteja perguntando em relação as casas, então podemos ter as ligações
XRZ, XRYZ, XYZ, XSYZ e XSZ, ou seja, 5 ligações diferentes.
Só os loucos sabem...
-
ant_dii
- Colaborador Voluntário

-
- Mensagens: 129
- Registrado em: Qua Jun 29, 2011 19:46
- Formação Escolar: GRADUAÇÃO
- Área/Curso: matemática
- Andamento: formado
Voltar para Estatística
Se chegou até aqui, provavelmente tenha interesse pelos tópicos relacionados abaixo.
Aproveite a leitura. Bons estudos!
-
- Qual é o menor número natural que....
por antonioCoisas » Qua Jan 12, 2011 15:32
- 0 Respostas
- 2531 Exibições
- Última mensagem por antonioCoisas

Qua Jan 12, 2011 15:32
Álgebra Elementar
-
- [Desafio] Qual o próximo número?
por victorff7 » Sex Out 28, 2011 13:01
- 1 Respostas
- 3477 Exibições
- Última mensagem por Neperiano

Sex Out 28, 2011 15:07
Desafios Fáceis
-
- Qual o número mínimo de funcionários?
por Therodrigou » Qui Jul 05, 2018 21:23
- 3 Respostas
- 9827 Exibições
- Última mensagem por Pagmobcon

Qua Fev 10, 2021 02:42
Álgebra
-
- Qual o numero de palavras que podem ser transmitidas?
por andersontricordiano » Qui Dez 01, 2011 14:33
- 1 Respostas
- 2374 Exibições
- Última mensagem por TheoFerraz

Qui Dez 01, 2011 15:18
Estatística
-
- Existe esse limite e para qual numero ?
por johnatta » Seg Mai 04, 2015 11:44
- 1 Respostas
- 1871 Exibições
- Última mensagem por adauto martins

Ter Mai 05, 2015 12:56
Cálculo: Limites, Derivadas e Integrais
Usuários navegando neste fórum: Nenhum usuário registrado e 2 visitantes
Assunto:
método de contagem
Autor:
sinuca147 - Seg Mai 25, 2009 09:10
Veja este exercício:
Se A = {

} e B = {

}, então o número de elementos A

B é:
Eu tentei resolver este exercício e achei a resposta "três", mas surgiram muitas dúvidas aqui durante a resolução.
Para determinar os elementos do conjunto A, eu tive de basicamente fazer um lista de vinte dividido por todos os números naturais maiores que zero e menores que vinte e um, finalmente identificando como elementos do conjunto A os números 1, 2, 4, 5, 10 e 20. Acho que procedi de maneira correta, mas fiquei pensando aqui se não existiria um método mais "sofisticado" e prático para que eu pudesse identificar ou ao menos contar o número de elementos do conjunto A, existe?
No processo de determinação dos elementos do conjunto B o que achei foi basicamente os múltiplos de cinco e seus opostos, daí me surgiram estas dúvidas:
existe oposto de zero?
existe inverso de zero?
zero é par, certo?
sendo x um número natural, -x é múltiplo de x?
sendo z um número inteiro negativo, z é múltiplo de z?
sendo z um número inteiro negativo, -z é múltiplo de z?
A resposta é 3?
Obrigado.
Assunto:
método de contagem
Autor:
Molina - Seg Mai 25, 2009 20:42
Boa noite, sinuca.
Se A = {

} você concorda que n só pode ser de 1 a 20? Já que pertence aos naturais?
Ou seja, quais são os divisores de 20? Eles são seis: 1, 2, 4, 5, 10 e 20.
Logo, o conjunto A é
A = {1, 2, 4, 5, 10, 20}
Se B = {

} você concorda que x será os múltiplos de 5 (positivos e negativos)? Já que m pertence ao conjunto Z?
Logo, o conjunto B é
B = {... , -25, -20, -15, -10, -5, 0, 5, 10, 15, 20, 25, ...
Feito isso precisamos ver os números que está em ambos os conjuntos, que são:
5, 10 e 20 (3 valores, como você achou).
Vou responder rapidamente suas dúvidas porque meu tempo está estourando. Qualquer dúvida, coloque aqui, ok?
sinuca147 escreveu:No processo de determinação dos elementos do conjunto B o que achei foi basicamente os múltiplos de cinco e seus opostos, daí me surgiram estas dúvidas:
existe oposto de zero? sim, é o próprio zero
existe inverso de zero? não, pois não há nenhum número que multiplicado por zero resulte em 1
zero é par, certo? sim, pois pode ser escrito da forma de 2n, onde n pertence aos inteiros
sendo x um número natural, -x é múltiplo de x? Sim, pois basta pegar x e multiplicar por -1 que encontramos -x
sendo z um número inteiro negativo, z é múltiplo de z? Sim, tais perguntando se todo número é multiplo de si mesmo
sendo z um número inteiro negativo, -z é múltiplo de z? Sim, pois basta pegar -z e multiplicar por -1 que encontramos x
A resposta é 3? Sim, pelo menos foi o que vimos a cima
Bom estudo,

Assunto:
método de contagem
Autor:
sinuca147 - Seg Mai 25, 2009 23:35
Obrigado, mas olha só este link
http://www.colegioweb.com.br/matematica ... ro-natural
neste link encontra-se a a frase:
Múltiplo de um número natural é qualquer número que possa ser obtido multiplicando o número natural por 0, 1, 2, 3, 4, 5, etc.
Para determinarmos os múltiplos de 15, por exemplo, devemos multiplicá-lo pela sucessão dos números naturais:
Ou seja, de acordo com este link -5 não poderia ser múltiplo de 5, assim como 5 não poderia ser múltiplo de -5, eu sempre achei que não interessava o sinal na questão dos múltiplos, assim como você me confirmou, mas e essa informação contrária deste site, tem alguma credibilidade?
Há e claro, a coisa mais bacana você esqueceu, quero saber se existe algum método de contagem diferente do manual neste caso:
Para determinar os elementos do conjunto A, eu tive de basicamente fazer um lista de vinte dividido por todos os números naturais maiores que zero e menores que vinte e um, finalmente identificando como elementos do conjunto A os números 1, 2, 4, 5, 10 e 20. Acho que procedi de maneira correta, mas fiquei pensando aqui se não existiria um método mais "sofisticado" e prático para que eu pudesse identificar ou ao menos contar o número de elementos do conjunto A, existe?
Powered by phpBB © phpBB Group.
phpBB Mobile / SEO by Artodia.