por guisore_09 » Ter Dez 29, 2015 08:58
Prezados, bom dia.
Estou estudando para uma prova de mestrado a qual aborda assuntos diversos em estatistica. Ao entrar em vaiaveis aleatorias me deparei com uma duvida constante na resolução de exericios que envolvem a maximização/minimização do valor esperado.
Meu maior problema está em encontrar a melhor ou a unica forma de fazer essa maximização. Tentei encontrar os valores derivando, fazendo comparações quando é acrescido uma unidade, pro diferença e de qualquer outro jeito que possam imaginar mas minha dificuldade persiste nesse tipo de problema.
Segue um exemplo (gostaria de, se possivel, postar outros para que eu posso entender a forma de resolver esse tipo de exercicio e possa tentar por conta propria em outros)
"Um jornaleiro compra jronais por 10 centavos e vende-os por 15 centavos. Entretanto, ele não pode retornar os jornais que não tiver vendido. Se sua demanda diária for uma variavel aleatoria binomial com n=10, p= 1/3, aproximademente quantos jornais ele deve comprar de forma a maximizar o lucro esperado?"
Muito obrigado. Agradeço se alguem tiver alguma dica para resolução desse tipo de exercicio também. Obrigado.
-
guisore_09
- Novo Usuário

-
- Mensagens: 3
- Registrado em: Ter Dez 29, 2015 08:46
- Formação Escolar: GRADUAÇÃO
- Área/Curso: Atuaria
- Andamento: formado
por guisore_09 » Sáb Jan 02, 2016 10:01
Lucio,
Muito obrigado pela ajuda!! Com certeza ajudou muito.
Uma dúvida, você teria uma sugestão para casos em que não seja possivel "fazer testes"?
Por exemplo para os casos abaixo:
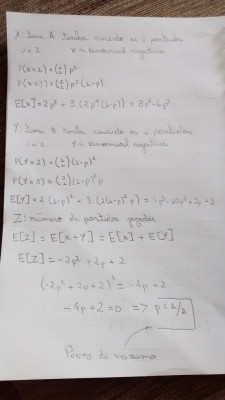
EX1: Suponha que dois times joguem uma série de partidas que termina quando um deles tiver ganhado “i” partidas. Suponha que cada partida jogada seja, independentemente, vencida pelo time A com probabilidade p. Determine o número esperado de partidas jogadas quando (a) i = 2 (b) i = 3. Também, mostre em ambos os casos que este número é maximizado quando p=1/2.
Comentário: Fica evidente que, por exemplo, para (a) a V.A. X (número de partidas jogadas) assume os valores 2 ou 3, com probabilidade p² e 2*p² *(1 - p). Contudo depois que que obtenho a função que representa a esperança, a maximização não fica claro para mim.
EX2: A cada noite diferentes meteorologistas nos dão a probabilidade de chuva no dia seguinte. Para julgar quão boa é a previsão do tempo feita por essas pessoas, vamos classifica-las de forma a seguir: se um meteorologista diz que choverá com probabilidade p, então ele ou ela receberá uma nota de:
1 – (1 – p)² - se chover
1 – p² - se não chover
Vamos então anotar as notas ao longo de um determinado período de tempo e concluir que o meteorologista com a maior nota média é aquele que melhor prevê o tempo. Suponha agora que certo meteorologista esteja ciente de nosso mecanismo de notas e queira maximizar sua nota esperada. Se essa pessoa acredita verdadeiramente que choverá amanhã com probabilidade p*, que valor de p ele ou ela deve declarar de forma a maximizar a nota esperada?
De novo, muito obrigado pela ajuda.
Atenciosamente,
Guilherme
-
guisore_09
- Novo Usuário

-
- Mensagens: 3
- Registrado em: Ter Dez 29, 2015 08:46
- Formação Escolar: GRADUAÇÃO
- Área/Curso: Atuaria
- Andamento: formado
por guisore_09 » Dom Jan 03, 2016 10:20
Prezados,
Muito Obrigado pela ajuda e pelos comentários.
Acabei encontrando a forma de resolver os dois exercicios (Segue a resolução do exercicio das partidas dos dois times). Para i=3 é só repetir o mesmo raciocinio.
Além dessa forma, é possível resolve-lo tendo em mente que dado que X e Y são variaveis aleatórias com distribuição de probabilidade de uma binomial negativa, a esperança de ambas serão dada por: E[X] = r/p e E[Y] = r/(1-p) em que "r" é o número de sucessos (i = 2 ou i = 3). Após fazer a soma das esperanças, é só derivar e igualar a zero a derivada, obtendo o ponto de máximo quando p = 1/2.
Assim que colocar no papel a resolução do exercicio dos meteorologistas, posto aqui.
Até mais.
- Anexos
-

- Exercicio das partidas
-
guisore_09
- Novo Usuário

-
- Mensagens: 3
- Registrado em: Ter Dez 29, 2015 08:46
- Formação Escolar: GRADUAÇÃO
- Área/Curso: Atuaria
- Andamento: formado
Voltar para Estatística
Se chegou até aqui, provavelmente tenha interesse pelos tópicos relacionados abaixo.
Aproveite a leitura. Bons estudos!
-
- Probabilidade-variaveis aleatórias - Help
por benni » Dom Mai 08, 2011 12:03
- 2 Respostas
- 4266 Exibições
- Última mensagem por psdias

Ter Mai 22, 2012 09:42
Probabilidade
-
- [Probablidade] variáveis aleatórias
por 1paulo » Sáb Mai 17, 2014 13:06
- 0 Respostas
- 2242 Exibições
- Última mensagem por 1paulo

Sáb Mai 17, 2014 13:06
Probabilidade
-
- varíaveis aleatórias contínuas conjuntas
por gprestes » Qua Nov 24, 2010 08:38
- 0 Respostas
- 2560 Exibições
- Última mensagem por gprestes

Qua Nov 24, 2010 08:38
Estatística
-
- Prova com Variáveis Aleatórias Independentes
por EREGON » Seg Mai 18, 2015 09:02
- 0 Respostas
- 1290 Exibições
- Última mensagem por EREGON

Seg Mai 18, 2015 09:02
Probabilidade
-
- Probabilidades de variáveis aleatórias discretas e continuas
por pogalski » Dom Jun 05, 2011 11:03
- 2 Respostas
- 3055 Exibições
- Última mensagem por MarceloFantini

Qua Jun 22, 2011 00:47
Estatística
Usuários navegando neste fórum: Nenhum usuário registrado e 13 visitantes
Assunto:
dúvida em uma questão em regra de 3!
Autor:
leandro moraes - Qui Jul 01, 2010 12:41
pessoal eu achei como resultado 180 toneladas,entretanto sei que a questão está erra pela lógica e a resposta correta segundo o gabarito é 1.800 toneladas.
me explique onde eu estou pecando na questão. resolva explicando.
78 – ( CEFET – 1993 ) Os desabamentos, em sua maioria, são causados por grande acúmulo de lixo nas encostas dos morros. Se 10 pessoas retiram 135 toneladas de lixo em 9 dias, quantas toneladas serão retiradas por 40 pessoas em 30 dias ?
Assunto:
dúvida em uma questão em regra de 3!
Autor:
Douglasm - Qui Jul 01, 2010 13:16
Observe o raciocínio:
10 pessoas - 9 dias - 135 toneladas
1 pessoa - 9 dias - 13,5 toneladas
1 pessoa - 1 dia - 1,5 toneladas
40 pessoas - 1 dia - 60 toneladas
40 pessoas - 30 dias - 1800 toneladas
Assunto:
dúvida em uma questão em regra de 3!
Autor:
leandro moraes - Qui Jul 01, 2010 13:18
pessoal já achei a resposta. o meu erro foi bobo rsrsrrs errei em uma continha de multiplicação, é mole rsrsrsr mas felizmente consegui.
Assunto:
dúvida em uma questão em regra de 3!
Autor:
leandro moraes - Qui Jul 01, 2010 13:21
leandro moraes escreveu:pessoal já achei a resposta. o meu erro foi bobo rsrsrrs errei em uma continha de multiplicação, é mole rsrsrsr mas felizmente consegui.
valeu meu camarada.
Powered by phpBB © phpBB Group.
phpBB Mobile / SEO by Artodia.