por guisore_09 » Ter Dez 29, 2015 08:58
Prezados, bom dia.
Estou estudando para uma prova de mestrado a qual aborda assuntos diversos em estatistica. Ao entrar em vaiaveis aleatorias me deparei com uma duvida constante na resolução de exericios que envolvem a maximização/minimização do valor esperado.
Meu maior problema está em encontrar a melhor ou a unica forma de fazer essa maximização. Tentei encontrar os valores derivando, fazendo comparações quando é acrescido uma unidade, pro diferença e de qualquer outro jeito que possam imaginar mas minha dificuldade persiste nesse tipo de problema.
Segue um exemplo (gostaria de, se possivel, postar outros para que eu posso entender a forma de resolver esse tipo de exercicio e possa tentar por conta propria em outros)
"Um jornaleiro compra jronais por 10 centavos e vende-os por 15 centavos. Entretanto, ele não pode retornar os jornais que não tiver vendido. Se sua demanda diária for uma variavel aleatoria binomial com n=10, p= 1/3, aproximademente quantos jornais ele deve comprar de forma a maximizar o lucro esperado?"
Muito obrigado. Agradeço se alguem tiver alguma dica para resolução desse tipo de exercicio também. Obrigado.
-
guisore_09
- Novo Usuário

-
- Mensagens: 3
- Registrado em: Ter Dez 29, 2015 08:46
- Formação Escolar: GRADUAÇÃO
- Área/Curso: Atuaria
- Andamento: formado
por guisore_09 » Sáb Jan 02, 2016 10:01
Lucio,
Muito obrigado pela ajuda!! Com certeza ajudou muito.
Uma dúvida, você teria uma sugestão para casos em que não seja possivel "fazer testes"?
Por exemplo para os casos abaixo:
EX1: Suponha que dois times joguem uma série de partidas que termina quando um deles tiver ganhado “i” partidas. Suponha que cada partida jogada seja, independentemente, vencida pelo time A com probabilidade p. Determine o número esperado de partidas jogadas quando (a) i = 2 (b) i = 3. Também, mostre em ambos os casos que este número é maximizado quando p=1/2.
Comentário: Fica evidente que, por exemplo, para (a) a V.A. X (número de partidas jogadas) assume os valores 2 ou 3, com probabilidade p² e 2*p² *(1 - p). Contudo depois que que obtenho a função que representa a esperança, a maximização não fica claro para mim.
EX2: A cada noite diferentes meteorologistas nos dão a probabilidade de chuva no dia seguinte. Para julgar quão boa é a previsão do tempo feita por essas pessoas, vamos classifica-las de forma a seguir: se um meteorologista diz que choverá com probabilidade p, então ele ou ela receberá uma nota de:
1 – (1 – p)² - se chover
1 – p² - se não chover
Vamos então anotar as notas ao longo de um determinado período de tempo e concluir que o meteorologista com a maior nota média é aquele que melhor prevê o tempo. Suponha agora que certo meteorologista esteja ciente de nosso mecanismo de notas e queira maximizar sua nota esperada. Se essa pessoa acredita verdadeiramente que choverá amanhã com probabilidade p*, que valor de p ele ou ela deve declarar de forma a maximizar a nota esperada?
De novo, muito obrigado pela ajuda.
Atenciosamente,
Guilherme
-
guisore_09
- Novo Usuário

-
- Mensagens: 3
- Registrado em: Ter Dez 29, 2015 08:46
- Formação Escolar: GRADUAÇÃO
- Área/Curso: Atuaria
- Andamento: formado
por guisore_09 » Dom Jan 03, 2016 10:20
Prezados,
Muito Obrigado pela ajuda e pelos comentários.
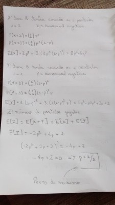
Acabei encontrando a forma de resolver os dois exercicios (Segue a resolução do exercicio das partidas dos dois times). Para i=3 é só repetir o mesmo raciocinio.
Além dessa forma, é possível resolve-lo tendo em mente que dado que X e Y são variaveis aleatórias com distribuição de probabilidade de uma binomial negativa, a esperança de ambas serão dada por: E[X] = r/p e E[Y] = r/(1-p) em que "r" é o número de sucessos (i = 2 ou i = 3). Após fazer a soma das esperanças, é só derivar e igualar a zero a derivada, obtendo o ponto de máximo quando p = 1/2.
Assim que colocar no papel a resolução do exercicio dos meteorologistas, posto aqui.
Até mais.
- Anexos
-

- Exercicio das partidas
-
guisore_09
- Novo Usuário

-
- Mensagens: 3
- Registrado em: Ter Dez 29, 2015 08:46
- Formação Escolar: GRADUAÇÃO
- Área/Curso: Atuaria
- Andamento: formado
Voltar para Estatística
Se chegou até aqui, provavelmente tenha interesse pelos tópicos relacionados abaixo.
Aproveite a leitura. Bons estudos!
-
- Probabilidade-variaveis aleatórias - Help
por benni » Dom Mai 08, 2011 12:03
- 2 Respostas
- 4266 Exibições
- Última mensagem por psdias

Ter Mai 22, 2012 09:42
Probabilidade
-
- [Probablidade] variáveis aleatórias
por 1paulo » Sáb Mai 17, 2014 13:06
- 0 Respostas
- 2242 Exibições
- Última mensagem por 1paulo

Sáb Mai 17, 2014 13:06
Probabilidade
-
- varíaveis aleatórias contínuas conjuntas
por gprestes » Qua Nov 24, 2010 08:38
- 0 Respostas
- 2560 Exibições
- Última mensagem por gprestes

Qua Nov 24, 2010 08:38
Estatística
-
- Prova com Variáveis Aleatórias Independentes
por EREGON » Seg Mai 18, 2015 09:02
- 0 Respostas
- 1290 Exibições
- Última mensagem por EREGON

Seg Mai 18, 2015 09:02
Probabilidade
-
- Probabilidades de variáveis aleatórias discretas e continuas
por pogalski » Dom Jun 05, 2011 11:03
- 2 Respostas
- 3055 Exibições
- Última mensagem por MarceloFantini

Qua Jun 22, 2011 00:47
Estatística
Usuários navegando neste fórum: Nenhum usuário registrado e 13 visitantes
Assunto:
método de contagem
Autor:
sinuca147 - Seg Mai 25, 2009 09:10
Veja este exercício:
Se A = {

} e B = {

}, então o número de elementos A

B é:
Eu tentei resolver este exercício e achei a resposta "três", mas surgiram muitas dúvidas aqui durante a resolução.
Para determinar os elementos do conjunto A, eu tive de basicamente fazer um lista de vinte dividido por todos os números naturais maiores que zero e menores que vinte e um, finalmente identificando como elementos do conjunto A os números 1, 2, 4, 5, 10 e 20. Acho que procedi de maneira correta, mas fiquei pensando aqui se não existiria um método mais "sofisticado" e prático para que eu pudesse identificar ou ao menos contar o número de elementos do conjunto A, existe?
No processo de determinação dos elementos do conjunto B o que achei foi basicamente os múltiplos de cinco e seus opostos, daí me surgiram estas dúvidas:
existe oposto de zero?
existe inverso de zero?
zero é par, certo?
sendo x um número natural, -x é múltiplo de x?
sendo z um número inteiro negativo, z é múltiplo de z?
sendo z um número inteiro negativo, -z é múltiplo de z?
A resposta é 3?
Obrigado.
Assunto:
método de contagem
Autor:
Molina - Seg Mai 25, 2009 20:42
Boa noite, sinuca.
Se A = {

} você concorda que n só pode ser de 1 a 20? Já que pertence aos naturais?
Ou seja, quais são os divisores de 20? Eles são seis: 1, 2, 4, 5, 10 e 20.
Logo, o conjunto A é
A = {1, 2, 4, 5, 10, 20}
Se B = {

} você concorda que x será os múltiplos de 5 (positivos e negativos)? Já que m pertence ao conjunto Z?
Logo, o conjunto B é
B = {... , -25, -20, -15, -10, -5, 0, 5, 10, 15, 20, 25, ...
Feito isso precisamos ver os números que está em ambos os conjuntos, que são:
5, 10 e 20 (3 valores, como você achou).
Vou responder rapidamente suas dúvidas porque meu tempo está estourando. Qualquer dúvida, coloque aqui, ok?
sinuca147 escreveu:No processo de determinação dos elementos do conjunto B o que achei foi basicamente os múltiplos de cinco e seus opostos, daí me surgiram estas dúvidas:
existe oposto de zero? sim, é o próprio zero
existe inverso de zero? não, pois não há nenhum número que multiplicado por zero resulte em 1
zero é par, certo? sim, pois pode ser escrito da forma de 2n, onde n pertence aos inteiros
sendo x um número natural, -x é múltiplo de x? Sim, pois basta pegar x e multiplicar por -1 que encontramos -x
sendo z um número inteiro negativo, z é múltiplo de z? Sim, tais perguntando se todo número é multiplo de si mesmo
sendo z um número inteiro negativo, -z é múltiplo de z? Sim, pois basta pegar -z e multiplicar por -1 que encontramos x
A resposta é 3? Sim, pelo menos foi o que vimos a cima
Bom estudo,

Assunto:
método de contagem
Autor:
sinuca147 - Seg Mai 25, 2009 23:35
Obrigado, mas olha só este link
http://www.colegioweb.com.br/matematica ... ro-natural
neste link encontra-se a a frase:
Múltiplo de um número natural é qualquer número que possa ser obtido multiplicando o número natural por 0, 1, 2, 3, 4, 5, etc.
Para determinarmos os múltiplos de 15, por exemplo, devemos multiplicá-lo pela sucessão dos números naturais:
Ou seja, de acordo com este link -5 não poderia ser múltiplo de 5, assim como 5 não poderia ser múltiplo de -5, eu sempre achei que não interessava o sinal na questão dos múltiplos, assim como você me confirmou, mas e essa informação contrária deste site, tem alguma credibilidade?
Há e claro, a coisa mais bacana você esqueceu, quero saber se existe algum método de contagem diferente do manual neste caso:
Para determinar os elementos do conjunto A, eu tive de basicamente fazer um lista de vinte dividido por todos os números naturais maiores que zero e menores que vinte e um, finalmente identificando como elementos do conjunto A os números 1, 2, 4, 5, 10 e 20. Acho que procedi de maneira correta, mas fiquei pensando aqui se não existiria um método mais "sofisticado" e prático para que eu pudesse identificar ou ao menos contar o número de elementos do conjunto A, existe?
Powered by phpBB © phpBB Group.
phpBB Mobile / SEO by Artodia.