por Ariel » Dom Set 25, 2016 12:17
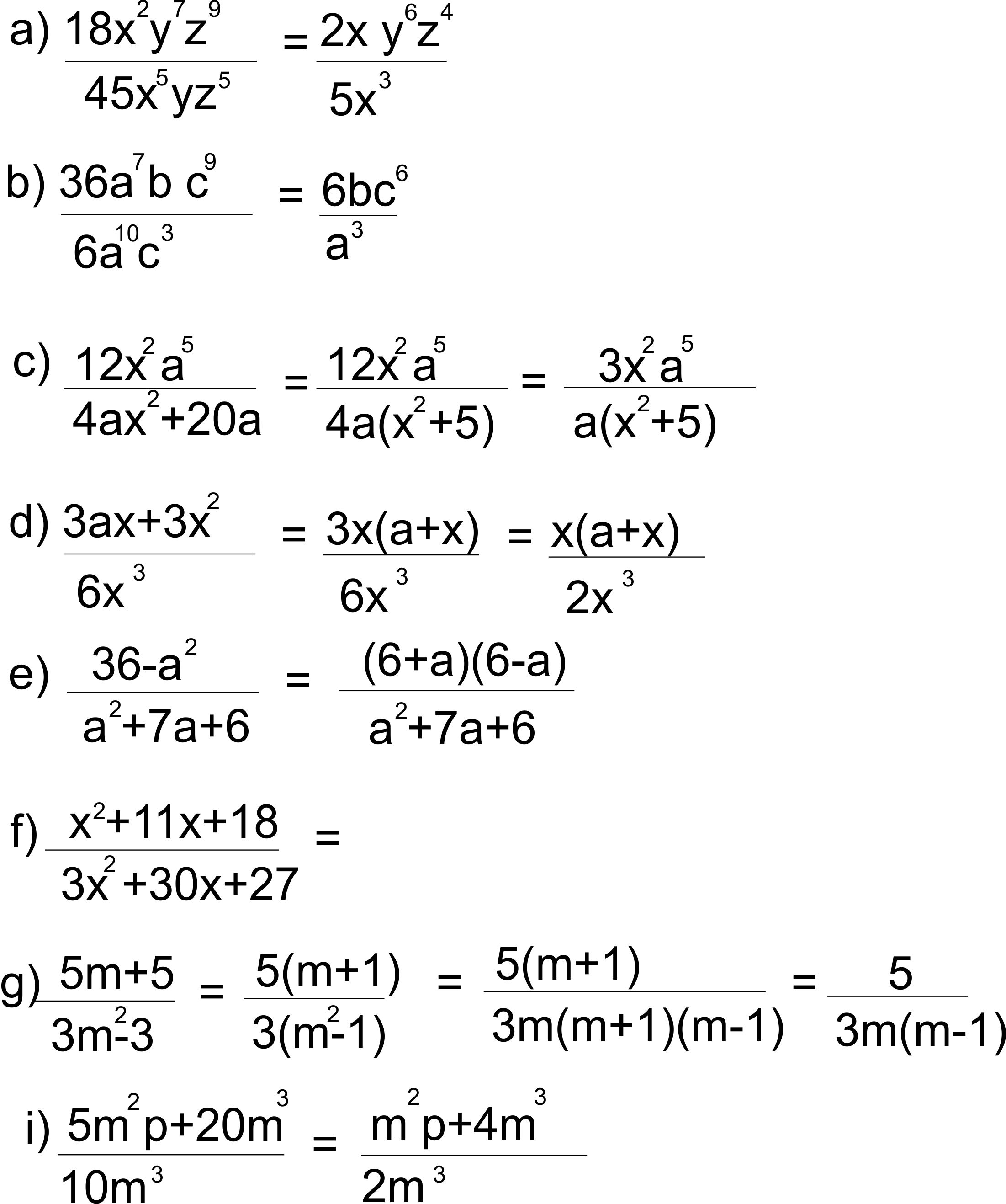
Pessoal, fiz essas equações até onde eu pude ir. Se alguém puder me ajudar a ver os erros, ou dizer se está certo, agradeço muito!! Abs!!
- Anexos
-

-
Ariel
- Usuário Dedicado

-
- Mensagens: 37
- Registrado em: Dom Nov 09, 2014 16:33
- Formação Escolar: ENSINO FUNDAMENTAL I
- Andamento: cursando
por petras » Dom Dez 04, 2016 13:59
-
petras
- Usuário Parceiro

-
- Mensagens: 58
- Registrado em: Sex Jan 22, 2016 21:19
- Formação Escolar: GRADUAÇÃO
- Andamento: formado
por Ariel » Sex Dez 09, 2016 00:26
Muito obrigada! Vou estudar e tentar entender!
Abração!!
-
Ariel
- Usuário Dedicado

-
- Mensagens: 37
- Registrado em: Dom Nov 09, 2014 16:33
- Formação Escolar: ENSINO FUNDAMENTAL I
- Andamento: cursando
Voltar para Polinômios
Se chegou até aqui, provavelmente tenha interesse pelos tópicos relacionados abaixo.
Aproveite a leitura. Bons estudos!
-
- Simplifique as frações algébricas 02
por Ariel » Qua Set 28, 2016 21:21
- 0 Respostas
- 1619 Exibições
- Última mensagem por Ariel

Qua Set 28, 2016 21:21
Álgebra Elementar
-
- Simplifique as frações algébricas
por Ariel » Qui Set 29, 2016 13:52
- 0 Respostas
- 1308 Exibições
- Última mensagem por Ariel

Qui Set 29, 2016 13:52
Funções
-
- simplifique as frações algébricas, fatorando os termos
por stanley tiago » Ter Fev 01, 2011 12:41
- 5 Respostas
- 3904 Exibições
- Última mensagem por DanielFerreira

Qua Fev 09, 2011 12:56
Sistemas de Equações
-
- simplifique as expressões algébricas
por wattflix » Dom Out 04, 2015 17:12
- 1 Respostas
- 2047 Exibições
- Última mensagem por nakagumahissao

Dom Out 04, 2015 21:43
Polinômios
-
- frações algebricas
por tamirosa » Qui Out 29, 2009 20:11
- 1 Respostas
- 3314 Exibições
- Última mensagem por Molina

Sex Out 30, 2009 11:37
Álgebra Elementar
Usuários navegando neste fórum: Nenhum usuário registrado e 1 visitante
Assunto:
[Função] do primeiro grau e quadratica
Autor:
Thassya - Sáb Out 01, 2011 16:20
1) Para que os pontos (1,3) e (-3,1) pertençam ao grafico da função f(X)=ax + b ,o valor de b-a deve ser ?
2)Qual o maior valor assumido pela função f : [-7 ,10] em R definida por f(x) = x ao quadrado - 5x + 9?
3) A função f, do primeiro grau, é definida pos f(x)= 3x + k para que o gráfico de f corte o eixo das ordenadas no ponto de ordenada 5 é?
Assunto:
[Função] do primeiro grau e quadratica
Autor:
Neperiano - Sáb Out 01, 2011 19:46
Ola
Qual as suas dúvidas?
O que você não está conseguindo fazer?
Nos mostre para podermos ajudar
Atenciosamente
Assunto:
[Função] do primeiro grau e quadratica
Autor:
joaofonseca - Sáb Out 01, 2011 20:15
1)Dados dois pontos A=(1,3) e B=(-3,1) de uma reta, é possivel definir a sua equação.
Em

substitui-se
m, substitui-se
y e
x por um dos pares ordenados, e resolve-se em ordem a
b.
2)Na equação

não existem zeros.Senão vejamos
Completando o quadrado,
As coordenadas do vertice da parabola são
O eixo de simetria é a reta

.Como se pode observar o vertice está acima do eixo Ox, estando parabola virada para cima, o vertice é um mínimo absoluto.Então basta calcular a função para os valores dos extremos do intervalo.
f(-7)=93
f(10)=59
Powered by phpBB © phpBB Group.
phpBB Mobile / SEO by Artodia.