por yuripa » Seg Ago 17, 2015 01:46
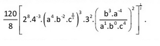
Ola, estou tentando resolver essa questao da ufsc que basicamente envolve apenas conceitos de potencia. Eu consigo anular o B e o C, mas nunca consigo cortar o A completamente, e como a resposta se trata de um numero puro, devo estar fazendo algo muito errado.
Resposta = 90.
OBS: Nao da pra ver direito na imagem, mas o C mais da esquerda é elevado a 8/3.
- Anexos
-

- UFSC
-
yuripa
- Novo Usuário

-
- Mensagens: 2
- Registrado em: Seg Ago 17, 2015 01:40
- Formação Escolar: ENSINO MÉDIO
- Andamento: cursando
por nakagumahissao » Seg Ago 17, 2015 11:43
Editado pela última vez por
nakagumahissao em Ter Ago 18, 2015 03:13, em um total de 3 vezes.
Eu faço a diferença. E você?
Do Poema: Quanto os professores "fazem"?
De Taylor Mali
-
nakagumahissao
- Colaborador Voluntário

-
- Mensagens: 386
- Registrado em: Qua Abr 04, 2012 14:07
- Localização: Brazil
- Formação Escolar: GRADUAÇÃO
- Área/Curso: Lic. Matemática
- Andamento: cursando
-
por yuripa » Seg Ago 17, 2015 14:16
Ola, primeiramente obrigado pela resposta.
Quando voce passou o 1/2 multiplicando, por que o a^2 que estava em baixo nao foi multiplicado tambem? Ele nao deveria ter virado a^1? O c^8 que estava do lado foi, e virou c^4, nao entendi por que o a nao foi.
-
yuripa
- Novo Usuário

-
- Mensagens: 2
- Registrado em: Seg Ago 17, 2015 01:40
- Formação Escolar: ENSINO MÉDIO
- Andamento: cursando
por nakagumahissao » Ter Ago 18, 2015 03:15
Bem observado! Você têm razão.
Fiz as correções necessárias. Acredito que a resposta do gabarito esteja faltando este "a".
Obrigado
Sandro
Eu faço a diferença. E você?
Do Poema: Quanto os professores "fazem"?
De Taylor Mali
-
nakagumahissao
- Colaborador Voluntário

-
- Mensagens: 386
- Registrado em: Qua Abr 04, 2012 14:07
- Localização: Brazil
- Formação Escolar: GRADUAÇÃO
- Área/Curso: Lic. Matemática
- Andamento: cursando
-
Voltar para Aritmética
Se chegou até aqui, provavelmente tenha interesse pelos tópicos relacionados abaixo.
Aproveite a leitura. Bons estudos!
-
- ufsc 2007
por manuoliveira » Seg Dez 13, 2010 21:45
- 2 Respostas
- 10985 Exibições
- Última mensagem por analauraa_b

Seg Mar 27, 2023 21:47
Geometria Plana
-
- Álgebra - UFSC
por thamaracm » Sáb Nov 10, 2012 06:44
- 1 Respostas
- 3290 Exibições
- Última mensagem por young_jedi

Sáb Nov 10, 2012 10:20
Álgebra Elementar
-
- Prisma ufsc 1996
por Maria Livia » Sáb Nov 10, 2012 10:25
- 2 Respostas
- 12830 Exibições
- Última mensagem por Maria Livia

Sáb Nov 10, 2012 10:47
Geometria Espacial
-
- [Série de potÊncia] Expansão de séries de potência
por Adonias 7 » Qua Jun 01, 2016 09:05
- 0 Respostas
- 3689 Exibições
- Última mensagem por Adonias 7

Qua Jun 01, 2016 09:05
Sequências
-
- Potência de potência... não sei ao certo se entendi...
por Vennom » Sáb Fev 20, 2010 10:42
- 3 Respostas
- 3774 Exibições
- Última mensagem por mottasky

Ter Out 04, 2011 02:03
Álgebra Elementar
Usuários navegando neste fórum: Nenhum usuário registrado e 0 visitantes
Assunto:
[Função] do primeiro grau e quadratica
Autor:
Thassya - Sáb Out 01, 2011 16:20
1) Para que os pontos (1,3) e (-3,1) pertençam ao grafico da função f(X)=ax + b ,o valor de b-a deve ser ?
2)Qual o maior valor assumido pela função f : [-7 ,10] em R definida por f(x) = x ao quadrado - 5x + 9?
3) A função f, do primeiro grau, é definida pos f(x)= 3x + k para que o gráfico de f corte o eixo das ordenadas no ponto de ordenada 5 é?
Assunto:
[Função] do primeiro grau e quadratica
Autor:
Neperiano - Sáb Out 01, 2011 19:46
Ola
Qual as suas dúvidas?
O que você não está conseguindo fazer?
Nos mostre para podermos ajudar
Atenciosamente
Assunto:
[Função] do primeiro grau e quadratica
Autor:
joaofonseca - Sáb Out 01, 2011 20:15
1)Dados dois pontos A=(1,3) e B=(-3,1) de uma reta, é possivel definir a sua equação.
Em

substitui-se
m, substitui-se
y e
x por um dos pares ordenados, e resolve-se em ordem a
b.
2)Na equação

não existem zeros.Senão vejamos
Completando o quadrado,
As coordenadas do vertice da parabola são
O eixo de simetria é a reta

.Como se pode observar o vertice está acima do eixo Ox, estando parabola virada para cima, o vertice é um mínimo absoluto.Então basta calcular a função para os valores dos extremos do intervalo.
f(-7)=93
f(10)=59
Powered by phpBB © phpBB Group.
phpBB Mobile / SEO by Artodia.