por EREGON » Seg Mai 18, 2015 09:02
Olá,
precisava de ajuda neste exercício.
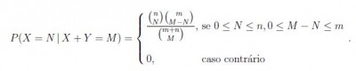
Sejam X e Y duas variaveis aleatorias independentes e binomiais de parâmetro, respectivamente, (n, p) e (m, p). Mostre que para quaisquer M, N = 0,1,...tem-se:
- Anexos
-

-
EREGON
- Usuário Ativo

-
- Mensagens: 12
- Registrado em: Seg Nov 10, 2014 16:00
- Formação Escolar: ENSINO MÉDIO
- Área/Curso: informatica
- Andamento: cursando
Voltar para Probabilidade
Se chegou até aqui, provavelmente tenha interesse pelos tópicos relacionados abaixo.
Aproveite a leitura. Bons estudos!
-
- Probabilidade-variaveis aleatórias - Help
por benni » Dom Mai 08, 2011 12:03
- 2 Respostas
- 4264 Exibições
- Última mensagem por psdias

Ter Mai 22, 2012 09:42
Probabilidade
-
- [Probablidade] variáveis aleatórias
por 1paulo » Sáb Mai 17, 2014 13:06
- 0 Respostas
- 2241 Exibições
- Última mensagem por 1paulo

Sáb Mai 17, 2014 13:06
Probabilidade
-
- varíaveis aleatórias contínuas conjuntas
por gprestes » Qua Nov 24, 2010 08:38
- 0 Respostas
- 2558 Exibições
- Última mensagem por gprestes

Qua Nov 24, 2010 08:38
Estatística
-
- [Variáveis Aleatórias] Esperança Matemática
por guisore_09 » Ter Dez 29, 2015 08:58
- 4 Respostas
- 11113 Exibições
- Última mensagem por guisore_09

Dom Jan 03, 2016 10:20
Estatística
-
- Probabilidades de variáveis aleatórias discretas e continuas
por pogalski » Dom Jun 05, 2011 11:03
- 2 Respostas
- 3054 Exibições
- Última mensagem por MarceloFantini

Qua Jun 22, 2011 00:47
Estatística
Usuários navegando neste fórum: Nenhum usuário registrado e 6 visitantes
Assunto:
Conjunto dos números racionais.
Autor:
scggomes - Sex Fev 18, 2011 10:38
Olá ! Tenho essa dúvida e não consigo montar o problema para resolução:
Qual é o racional não nulo cujo o quadrado é igual à sua terça parte ?
Grata.
Assunto:
Conjunto dos números racionais.
Autor:
MarceloFantini - Sex Fev 18, 2011 12:27

Assunto:
Conjunto dos números racionais.
Autor:
scggomes - Sex Fev 18, 2011 12:55
também pensei que fosse assim, mas a resposta é

.
Obrigada Fantini.
Assunto:
Conjunto dos números racionais.
Autor:
MarceloFantini - Sex Fev 18, 2011 13:01
Como

:
O que você fez?
Assunto:
Conjunto dos números racionais.
Autor:
scggomes - Sex Fev 18, 2011 16:17
eu só consegui fazer a igualdade, não consegui desenvolver o restante, não pensei em fatoração, mas agora entendi o que vc fez.
Obrigada.
Powered by phpBB © phpBB Group.
phpBB Mobile / SEO by Artodia.