por juliohenriquelima14 » Ter Nov 04, 2014 11:24
Bom dia pessoal!
Sou novo aqui no fórum, por isso ainda estou meio perdido. Primeiramente me desculpem se houver algum equivoco na postagem.
Pois bem, tenho a seguinte questão de indução matemática para resolver, consegui chegar tranquilo até o terceiro passo. Lá tem uma parte, inclusive
eu até destaquei no anexo. Eu venho pedir a ajuda de vocês para que possam analisar meu feito e fazer a devida correção se caso precisar.
Obrigado pela atenção de todos.
- Anexos
-

- inducMatematica
-
juliohenriquelima14
- Novo Usuário

-
- Mensagens: 9
- Registrado em: Sáb Nov 01, 2014 09:40
- Formação Escolar: GRADUAÇÃO
- Área/Curso: Sistema da Informação
- Andamento: cursando
por Russman » Ter Nov 04, 2014 13:53
Esta bastante confuso de entender o que você quer/está fazendo. Explique o problema.
"Ad astra per aspera."
-
Russman
- Colaborador Voluntário

-
- Mensagens: 1183
- Registrado em: Sex Abr 20, 2012 22:06
- Formação Escolar: PÓS-GRADUAÇÃO
- Área/Curso: Física
- Andamento: formado
por juliohenriquelima14 » Ter Nov 04, 2014 14:07
Boa tarde amigo!
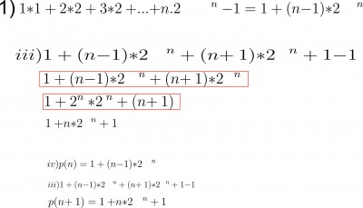
Eu preciso provar por induçao a validação a equação acima
1*1+2*2¹+3*2²+...+n.2^n-1 = 1+(n-1)*2^n
Eu tenho que provar que o resultado do segundo passo vai ser igual ao resultado do terceiro passo.
Só que é exatamente onde eu estou me confundindo não consigo resolver a parte do anexo que está destacada.
-
juliohenriquelima14
- Novo Usuário

-
- Mensagens: 9
- Registrado em: Sáb Nov 01, 2014 09:40
- Formação Escolar: GRADUAÇÃO
- Área/Curso: Sistema da Informação
- Andamento: cursando
por juliohenriquelima14 » Ter Nov 04, 2014 14:08
Tentei fazer da forma acima como está no anexo, mas não sei se está correto.
-
juliohenriquelima14
- Novo Usuário

-
- Mensagens: 9
- Registrado em: Sáb Nov 01, 2014 09:40
- Formação Escolar: GRADUAÇÃO
- Área/Curso: Sistema da Informação
- Andamento: cursando
por Russman » Ter Nov 04, 2014 15:55
Agora sim! (:
A afirmação que queremos provar é

Vou chamar

.
Bem, o 1° passo da prova por indução é verificar que( como a soma começa em

) a afirmação é verdadeira para

. De fato,

Perfeito. Agora precisamos mostrar que a afirmação é válida para N+1.
Veja que

Mas, por hipótese,

. Assim,

Daí, trocando N+1 por N temos

que é a hipótese inicial.
"Ad astra per aspera."
-
Russman
- Colaborador Voluntário

-
- Mensagens: 1183
- Registrado em: Sex Abr 20, 2012 22:06
- Formação Escolar: PÓS-GRADUAÇÃO
- Área/Curso: Física
- Andamento: formado
por Russman » Ter Nov 04, 2014 16:09
Mais um comentário.
Não é difícil mostrar que , de fato,

.
Considere as somas

e

.
OBS: A sua soma de interesse é

Note que

ou seja,

.
Assim, como sabemos que

, (não nos preocupemos com o caso x=1), então
![S(N,x) = \frac{\partial }{\partial x} \frac{x(x^N-1)}{x-1} = \frac{1}{(x-1)^2} [x^N(N(x-1)-1)+1] S(N,x) = \frac{\partial }{\partial x} \frac{x(x^N-1)}{x-1} = \frac{1}{(x-1)^2} [x^N(N(x-1)-1)+1]](/latexrender/pictures/6d4d4a5f31a6b5daa94da51f0ecc3ab6.png)
Daí, fazendo

temos
![S(N,x=2) = \frac{1}{(2-1)^2} [2^N(N(2-1)-1)+1] = 1. [2^N(N.1-1)+1)] = 2^N(N-1) + 1 S(N,x=2) = \frac{1}{(2-1)^2} [2^N(N(2-1)-1)+1] = 1. [2^N(N.1-1)+1)] = 2^N(N-1) + 1](/latexrender/pictures/e4a838575b78fb29334c8c0332adc5bc.png)
que é a afirmação que você gostaria de provar por indução.
"Ad astra per aspera."
-
Russman
- Colaborador Voluntário

-
- Mensagens: 1183
- Registrado em: Sex Abr 20, 2012 22:06
- Formação Escolar: PÓS-GRADUAÇÃO
- Área/Curso: Física
- Andamento: formado
por juliohenriquelima14 » Ter Nov 04, 2014 16:28
Bom!!! É isso mesmo que a questão pede. Muito bom, com vocês consegui clarear bastante o entendimento.
Muito grato!
-
juliohenriquelima14
- Novo Usuário

-
- Mensagens: 9
- Registrado em: Sáb Nov 01, 2014 09:40
- Formação Escolar: GRADUAÇÃO
- Área/Curso: Sistema da Informação
- Andamento: cursando
Voltar para Equações
Se chegou até aqui, provavelmente tenha interesse pelos tópicos relacionados abaixo.
Aproveite a leitura. Bons estudos!
-
- [Derivadas]Duvida nessa questão
por Flavio50 » Dom Abr 19, 2015 12:45
- 2 Respostas
- 1894 Exibições
- Última mensagem por Flavio50

Seg Abr 27, 2015 13:47
Cálculo: Limites, Derivadas e Integrais
-
- [Método de Newton] - Duvida nessa questão
por zifles2012 » Seg Set 17, 2012 16:13
- 1 Respostas
- 2135 Exibições
- Última mensagem por LuizAquino

Seg Set 17, 2012 19:55
Cálculo Numérico e Aplicações
-
- ajuda nessa questão
por zenildo » Dom Jun 05, 2016 23:36
- 4 Respostas
- 4985 Exibições
- Última mensagem por Thiago1986Iz

Dom Jul 17, 2016 17:07
Trigonometria
-
- [porcentagem] Ajudem nessa questão?
por amanda s » Sex Nov 15, 2013 20:20
- 2 Respostas
- 3513 Exibições
- Última mensagem por nakagumahissao

Sáb Nov 16, 2013 01:04
Conversão de Unidades
-
- [logica] Ajudem nessa questão
por amanda s » Sáb Nov 16, 2013 09:56
- 1 Respostas
- 1607 Exibições
- Última mensagem por nakagumahissao

Sáb Nov 16, 2013 14:56
Lógica
Usuários navegando neste fórum: Nenhum usuário registrado e 2 visitantes
Assunto:
Proporcionalidade
Autor:
silvia fillet - Qui Out 13, 2011 22:46
Divida o numero 35 em partes diretamente proporcionais a 4, 10 e 14. Em seguida divida o mesmo numero em partes proporcionais a 6, 15 e 21. explique por que os resultados sao iguais.
Assunto:
Proporcionalidade
Autor:
silvia fillet - Sáb Out 15, 2011 10:25
POR GENTILEZA PODEM VERIFICAR SE O MEU RACIOCINIO ESTÁ CERTO?
P1 = K.4 SUBSTITUINDO K POR 1,25 P1= 5
P2 = K.10 SUBSTITUINDO K POR 1,25 P2= 12,50
P3 = K.13 SUBSTITUINDO K POR 1,25 P3= 17,50
P1+P2+P3 = 35
K.4+K.10+K.13 = 35
28 K = 35
K= 1,25
P1 = K.6 SUBSTITUINDO K POR 0,835 P1= 5
P2 = K.15 SUBSTITUINDO K POR 0,835 P2 = 12,50
P3 = K.21 SUBSTITUINDO K POR 0,835 P3 = 17,50
K.6+K.15+K.21 = 35
42K = 35
K= 0,833
4/6 =10/15 =14/21 RAZÃO = 2/3
SERÁ QUE ESTÁ CERTO?
ALGUEM PODE ME AJUDAR A EXPLICAR MELHOR?
OBRIGADA
SILVIA
Assunto:
Proporcionalidade
Autor:
ivanfx - Dom Out 16, 2011 00:37
utilize a definição e não se baseie no exercícios resolvidos da redefor, assim você terá mais clareza, mas acredito que sua conclusão esteja correto, pois o motivo de darem o mesmo resultado é pq a razão é a mesma.
Assunto:
Proporcionalidade
Autor:
Marcos Roberto - Dom Out 16, 2011 18:24
Silvia:
Acho que o resultado é o mesmo pq as razões dos coeficientes e as razões entre os números são inversamente proporcionais.
Você conseguiu achar o dia em que caiu 15 de novembro de 1889?
Assunto:
Proporcionalidade
Autor:
deiasp - Dom Out 16, 2011 23:45
Ola pessoal
Tb. estou no redefor
O dia da semana em 15 de novembro de 1889, acredito que foi em uma sexta feira
Assunto:
Proporcionalidade
Autor:
silvia fillet - Seg Out 17, 2011 06:23
Bom dia,
Realmente foi uma sexta feira, como fazer os calculos para chegar ?
Assunto:
Proporcionalidade
Autor:
ivanfx - Seg Out 17, 2011 07:18
Para encontrar o dia que caiu 15 de novembro de 1889 você deve em primeiro lugar encontrar a quantidade de anos bissextos que houve entre 1889 à 2011, após isso dá uma verificada no ano 1900, ele não é bissexto, pois a regra diz que ano que é múltiplo de 100 e não é múltiplo de 400 não é bissexto.
Depois calcule quantos dias dão de 1889 até 2011, basta pegar a quantidade de anos e multiplicar por 365 + 1 dia a cada ano bissexto (esse resultado você calculou quando encontrou a quantidade de anos bissextos)
Pegue o resultado e divida por 7 e vai obter o resto.
obtendo o resto e partindo da data que pegou como referência conte a quantidade do resto para trás da semana.
Assunto:
Proporcionalidade
Autor:
silvia fillet - Seg Out 17, 2011 07:40
Bom dia,
Será que é assim:
2011 a 1889 são 121 anos sendo , 30 anos bissextos e 91 anos normais então temos:
30x366 = 10.980 dias
91x365 = 33.215 dias
incluindo 15/11/1889 - 31/12/1889 47 dias
33215+10980+47 = 44242 dias
44242:7 = 6320 + resto 2
è assim, nâo sei mais sair disso.
Assunto:
Proporcionalidade
Autor:
ivanfx - Seg Out 17, 2011 10:24
que tal descontar 1 dia do seu resultado, pois 1900 não é bissexto, ai seria 44241 e quando fizer a divisão o resto será 1
como etá pegando base 1/01/2011, se reparar bem 01/01/2011 sempre cai no mesmo dia que 15/01/2011, sendo assim se 01/01/2011 caiu em um sábado volte 1 dia para trás, ou seja, você está no sábado e voltando 1 dia voltará para sexta.então 15/11/1889 cairá em uma sexta
Assunto:
Proporcionalidade
Autor:
Kiwamen2903 - Seg Out 17, 2011 19:43
Boa noite, sou novo por aqui, espero poder aprender e ajudar quando possível! A minha resposta ficou assim:
De 1889 até 2001 temos 29 anos bissextos a começar por 1892 (primeiro múltiplo de 4 após 1889) e terminar por 2008 (último múltiplo de 4 antes de 2011). Vale lembrar que o ano 1900 não é bissexto, uma vez que é múltiplo de 100 mas não é múltiplo de 400.
De um ano normal para outro, se considerarmos a mesma data, eles caem em dias consecutivos da semana. Por exemplo 01/01/2011 – sábado, e 01/01/2010 – sexta.
De um ano bissexto para outro, se considerarmos a mesma data, um cai dois dias da semana depois do outro. Por exemplo 01/01/2008 (ano bissexto) – Terça – feira, e 01/01/09 – Quinta-feira.
Sendo assim, se contarmos um dia da semana de diferença para cada um dos 01/01 dos 122 anos que separam 1889 e 2011 mais os 29 dias a mais referentes aos anos bissextos entre 1889 e 2011, concluímos que são 151 dias da semana de diferença, o que na realidade nos trás: 151:7= 21x7+4, isto é, são 4 dias da semana de diferença. Logo, como 15/11/2011 cairá em uma terça-feira, 15/11/1889 caiu em uma sexta-feira.
Powered by phpBB © phpBB Group.
phpBB Mobile / SEO by Artodia.