por xdleoskk8 » Sáb Fev 15, 2014 12:29
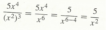
gente, to colocando um anexo de uma expressão aqui que eu n consigo entender a resolução dela, ( pra mim, a regra de divisão de expoentes com msm base, seria subtrai-los, ou seja, ficaria 5 divido por 1 e x elevado a 4 - 6, =x elevado a -2, alguem poderia me explicar isso?
- Anexos
-

- A equação
- duvida.png (26.71 KiB) Exibido 3643 vezes
-
xdleoskk8
- Novo Usuário

-
- Mensagens: 2
- Registrado em: Sáb Fev 15, 2014 12:18
- Formação Escolar: GRADUAÇÃO
- Área/Curso: Engenharia Civil
- Andamento: cursando
por DanielFerreira » Sáb Fev 15, 2014 13:47
Seu raciocínio também está correto! É que a resposta final pode ser representada por mais de uma forma.
"Sabedoria é saber o que fazer;
habilidade é saber como fazer;
virtude é fazer."
(David S. Jordan)
--------------------------------------------------------------------------------
-
DanielFerreira
- Colaborador - em formação

-
- Mensagens: 1732
- Registrado em: Qui Jul 23, 2009 21:34
- Localização: Mangaratiba - RJ
- Formação Escolar: GRADUAÇÃO
- Área/Curso: Licenciatura em Matemática - IFRJ
- Andamento: formado
-
por xdleoskk8 » Sáb Fev 15, 2014 13:58
Então 5/x² também pode ser representado por 5.x-² ??
-
xdleoskk8
- Novo Usuário

-
- Mensagens: 2
- Registrado em: Sáb Fev 15, 2014 12:18
- Formação Escolar: GRADUAÇÃO
- Área/Curso: Engenharia Civil
- Andamento: cursando
por DanielFerreira » Sáb Fev 15, 2014 14:17
Pode!
"Sabedoria é saber o que fazer;
habilidade é saber como fazer;
virtude é fazer."
(David S. Jordan)
--------------------------------------------------------------------------------
-
DanielFerreira
- Colaborador - em formação

-
- Mensagens: 1732
- Registrado em: Qui Jul 23, 2009 21:34
- Localização: Mangaratiba - RJ
- Formação Escolar: GRADUAÇÃO
- Área/Curso: Licenciatura em Matemática - IFRJ
- Andamento: formado
-
Voltar para Equações
Se chegou até aqui, provavelmente tenha interesse pelos tópicos relacionados abaixo.
Aproveite a leitura. Bons estudos!
-
- Simplificação de expressão
por Cleyson007 » Qui Jan 14, 2010 22:13
- 3 Respostas
- 13189 Exibições
- Última mensagem por MarceloFantini

Sáb Jan 16, 2010 19:12
Estatística
-
- Simplificação de expressão
por maria cleide » Dom Mai 08, 2011 17:14
- 1 Respostas
- 1411 Exibições
- Última mensagem por Molina

Dom Mai 08, 2011 17:49
Polinômios
-
- Simplificação de expressão.
por Sobreira » Qui Ago 22, 2013 01:53
- 2 Respostas
- 1483 Exibições
- Última mensagem por Sobreira

Qui Ago 22, 2013 18:12
Aritmética
-
- Simplificação(UNIFOR)-A expressão
por wgf » Seg Mai 27, 2013 20:26
- 4 Respostas
- 9673 Exibições
- Última mensagem por DanielFerreira

Ter Mai 01, 2018 22:54
Álgebra Elementar
-
- simplificação de expressão entre conjuntos
por jojo » Ter Abr 06, 2010 16:49
- 1 Respostas
- 4027 Exibições
- Última mensagem por Lucio Carvalho

Ter Abr 06, 2010 21:26
Álgebra Elementar
Usuários navegando neste fórum: Nenhum usuário registrado e 1 visitante
Assunto:
simplifiquei e achei...está certo?????????????
Autor:
zig - Sex Set 23, 2011 13:57
![{(0,05)}^{-\frac{1}{2}}=\frac{10}{\sqrt[5]} {(0,05)}^{-\frac{1}{2}}=\frac{10}{\sqrt[5]}](/latexrender/pictures/19807748a214d3361336324f3e43ea9a.png)
![{(0,05)}^{-\frac{1}{2}}=\frac{10}{\sqrt[2]{5}} {(0,05)}^{-\frac{1}{2}}=\frac{10}{\sqrt[2]{5}}](/latexrender/pictures/3d7908e5b4e397bf635b6546063d9130.png)
Assunto:
simplifiquei e achei...está certo?????????????
Autor:
Vennom - Sex Set 23, 2011 21:41
zig escreveu:![{(0,05)}^{-\frac{1}{2}}=\frac{10}{\sqrt[5]} {(0,05)}^{-\frac{1}{2}}=\frac{10}{\sqrt[5]}](/latexrender/pictures/19807748a214d3361336324f3e43ea9a.png)
![{(0,05)}^{-\frac{1}{2}}=\frac{10}{\sqrt[2]{5}} {(0,05)}^{-\frac{1}{2}}=\frac{10}{\sqrt[2]{5}}](/latexrender/pictures/3d7908e5b4e397bf635b6546063d9130.png)
Rpz, o negócio é o seguinte:
Quando você tem uma potência negativa, tu deve inverter a base dela. Por exemplo:
Então pense o seguinte: a fração geratriz de 0,05 é

, ou seja, 1 dividido por 20 é igual a 0.05 . Sendo assim, a função final é igual a vinte elevado à meio.
Veja:
A raiz quadrada de vinte, você acha fácil, né?
Espero ter ajudado.
Assunto:
simplifiquei e achei...está certo?????????????
Autor:
fraol - Dom Dez 11, 2011 20:23
Nós podemos simplificar, um pouco,

da seguinte forma:

.
É isso.
Assunto:
simplifiquei e achei...está certo?????????????
Autor:
fraol - Dom Dez 11, 2011 20:24
Nós podemos simplificar, um pouco,

da seguinte forma:

.
É isso.
Powered by phpBB © phpBB Group.
phpBB Mobile / SEO by Artodia.