por dener42 » Dom Jun 02, 2013 22:02
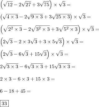
Tenho essa questão pra resolver: (sqrt(12)-2sqrt(27)+3sqrt(75)).sqrt(3)
mas não tenho ideia de onde começar
-
dener42
- Novo Usuário

-
- Mensagens: 1
- Registrado em: Dom Jun 02, 2013 14:39
- Formação Escolar: ENSINO MÉDIO
- Andamento: cursando
por DanielFerreira » Qua Jun 05, 2013 01:56
Dener,
boas vindas meu caro!

"Sabedoria é saber o que fazer;
habilidade é saber como fazer;
virtude é fazer."
(David S. Jordan)
--------------------------------------------------------------------------------
-
DanielFerreira
- Colaborador - em formação

-
- Mensagens: 1732
- Registrado em: Qui Jul 23, 2009 21:34
- Localização: Mangaratiba - RJ
- Formação Escolar: GRADUAÇÃO
- Área/Curso: Licenciatura em Matemática - IFRJ
- Andamento: formado
-
Voltar para Equações
Se chegou até aqui, provavelmente tenha interesse pelos tópicos relacionados abaixo.
Aproveite a leitura. Bons estudos!
-
- PRECISO DE AJUDA !
por Layna Cardoso » Ter Mar 16, 2010 20:49
- 1 Respostas
- 2041 Exibições
- Última mensagem por Molina

Ter Mar 16, 2010 21:37
Problemas do Cotidiano
-
- PRECISO DE AJUDA!
por Lurdes » Sex Jul 09, 2010 23:22
- 1 Respostas
- 3475 Exibições
- Última mensagem por Neperiano

Qui Set 29, 2011 16:45
Problemas do Cotidiano
-
- preciso de ajuda...
por apoliveirarj » Qua Jul 21, 2010 12:25
- 5 Respostas
- 4227 Exibições
- Última mensagem por apoliveirarj

Qui Jul 22, 2010 12:52
Sistemas de Equações
-
- preciso de ajuda...
por apoliveirarj » Sáb Jul 24, 2010 19:10
- 1 Respostas
- 3098 Exibições
- Última mensagem por Neperiano

Sex Set 17, 2010 15:00
Estatística
-
- preciso de ajuda:
por angeloka » Ter Out 05, 2010 23:00
- 1 Respostas
- 2176 Exibições
- Última mensagem por MarceloFantini

Ter Out 05, 2010 23:39
Álgebra Elementar
Usuários navegando neste fórum: Nenhum usuário registrado e 4 visitantes
Assunto:
Conjunto dos números racionais.
Autor:
scggomes - Sex Fev 18, 2011 10:38
Olá ! Tenho essa dúvida e não consigo montar o problema para resolução:
Qual é o racional não nulo cujo o quadrado é igual à sua terça parte ?
Grata.
Assunto:
Conjunto dos números racionais.
Autor:
MarceloFantini - Sex Fev 18, 2011 12:27

Assunto:
Conjunto dos números racionais.
Autor:
scggomes - Sex Fev 18, 2011 12:55
também pensei que fosse assim, mas a resposta é

.
Obrigada Fantini.
Assunto:
Conjunto dos números racionais.
Autor:
MarceloFantini - Sex Fev 18, 2011 13:01
Como

:
O que você fez?
Assunto:
Conjunto dos números racionais.
Autor:
scggomes - Sex Fev 18, 2011 16:17
eu só consegui fazer a igualdade, não consegui desenvolver o restante, não pensei em fatoração, mas agora entendi o que vc fez.
Obrigada.
Powered by phpBB © phpBB Group.
phpBB Mobile / SEO by Artodia.