por yuripa » Seg Ago 17, 2015 01:46
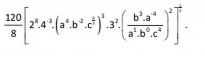
Ola, estou tentando resolver essa questao da ufsc que basicamente envolve apenas conceitos de potencia. Eu consigo anular o B e o C, mas nunca consigo cortar o A completamente, e como a resposta se trata de um numero puro, devo estar fazendo algo muito errado.
Resposta = 90.
OBS: Nao da pra ver direito na imagem, mas o C mais da esquerda é elevado a 8/3.
- Anexos
-

- UFSC
-
yuripa
- Novo Usuário

-
- Mensagens: 2
- Registrado em: Seg Ago 17, 2015 01:40
- Formação Escolar: ENSINO MÉDIO
- Andamento: cursando
por nakagumahissao » Seg Ago 17, 2015 11:43
Editado pela última vez por
nakagumahissao em Ter Ago 18, 2015 03:13, em um total de 3 vezes.
Eu faço a diferença. E você?
Do Poema: Quanto os professores "fazem"?
De Taylor Mali
-
nakagumahissao
- Colaborador Voluntário

-
- Mensagens: 386
- Registrado em: Qua Abr 04, 2012 14:07
- Localização: Brazil
- Formação Escolar: GRADUAÇÃO
- Área/Curso: Lic. Matemática
- Andamento: cursando
-
por yuripa » Seg Ago 17, 2015 14:16
Ola, primeiramente obrigado pela resposta.
Quando voce passou o 1/2 multiplicando, por que o a^2 que estava em baixo nao foi multiplicado tambem? Ele nao deveria ter virado a^1? O c^8 que estava do lado foi, e virou c^4, nao entendi por que o a nao foi.
-
yuripa
- Novo Usuário

-
- Mensagens: 2
- Registrado em: Seg Ago 17, 2015 01:40
- Formação Escolar: ENSINO MÉDIO
- Andamento: cursando
por nakagumahissao » Ter Ago 18, 2015 03:15
Bem observado! Você têm razão.
Fiz as correções necessárias. Acredito que a resposta do gabarito esteja faltando este "a".
Obrigado
Sandro
Eu faço a diferença. E você?
Do Poema: Quanto os professores "fazem"?
De Taylor Mali
-
nakagumahissao
- Colaborador Voluntário

-
- Mensagens: 386
- Registrado em: Qua Abr 04, 2012 14:07
- Localização: Brazil
- Formação Escolar: GRADUAÇÃO
- Área/Curso: Lic. Matemática
- Andamento: cursando
-
Voltar para Aritmética
Se chegou até aqui, provavelmente tenha interesse pelos tópicos relacionados abaixo.
Aproveite a leitura. Bons estudos!
-
- ufsc 2007
por manuoliveira » Seg Dez 13, 2010 21:45
- 2 Respostas
- 10985 Exibições
- Última mensagem por analauraa_b

Seg Mar 27, 2023 21:47
Geometria Plana
-
- Álgebra - UFSC
por thamaracm » Sáb Nov 10, 2012 06:44
- 1 Respostas
- 3291 Exibições
- Última mensagem por young_jedi

Sáb Nov 10, 2012 10:20
Álgebra Elementar
-
- Prisma ufsc 1996
por Maria Livia » Sáb Nov 10, 2012 10:25
- 2 Respostas
- 12831 Exibições
- Última mensagem por Maria Livia

Sáb Nov 10, 2012 10:47
Geometria Espacial
-
- [Série de potÊncia] Expansão de séries de potência
por Adonias 7 » Qua Jun 01, 2016 09:05
- 0 Respostas
- 3690 Exibições
- Última mensagem por Adonias 7

Qua Jun 01, 2016 09:05
Sequências
-
- Potência de potência... não sei ao certo se entendi...
por Vennom » Sáb Fev 20, 2010 10:42
- 3 Respostas
- 3776 Exibições
- Última mensagem por mottasky

Ter Out 04, 2011 02:03
Álgebra Elementar
Usuários navegando neste fórum: Nenhum usuário registrado e 0 visitantes
Assunto:
Taxa de variação
Autor:
felipe_ad - Ter Jun 29, 2010 19:44
Como resolvo uma questao desse tipo:
Uma usina de britagem produz pó de pedra, que ao ser depositado no solo, forma uma pilha cônica onde a altura é aproximadamente igual a 4/3 do raio da base.
(a) Determinar a razão de variação do volume em relação ao raio da base.
(b) Se o raio da base varia a uma taxa de 20 cm/s, qual a razão de variação do volume quando o raio mede 2 m?
A letra (a) consegui resolver e cheguei no resultado correto de

Porem, nao consegui chegar a um resultado correto na letra (b). A resposta certa é
Alguem me ajuda? Agradeço desde já.
Assunto:
Taxa de variação
Autor:
Elcioschin - Qua Jun 30, 2010 20:47
V = (1/3)*pi*r²*h ----> h = 4r/3
V = (1/3)*pi*r²*(4r/3) ----> V = (4*pi/9)*r³
Derivando:
dV/dr = (4*pi/9)*(3r²) -----> dV/dr = 4pi*r²/3
Para dr = 20 cm/s = 0,2 m/s e R = 2 m ----> dV/0,2 = (4*pi*2²)/3 ----> dV = (3,2/3)*pi ----> dV ~= 1,066*pi m³/s
Assunto:
Taxa de variação
Autor:
Guill - Ter Fev 21, 2012 21:17
Temos que o volume é dado por:
Temos, portanto, o volume em função do raio. Podemos diferenciar implicitamente ambos os lados da equação em função do tempo, para encontrar as derivadas em função do tempo:
Sabendo que a taxa de variação do raio é 0,2 m/s e que queremos ataxa de variação do volume quando o raio for 2 m:

Powered by phpBB © phpBB Group.
phpBB Mobile / SEO by Artodia.