por jefersonab » Sáb Mar 26, 2016 17:27
Podem ajudar com esses cálculos?


Agradeço a força.
-
jefersonab
- Novo Usuário

-
- Mensagens: 9
- Registrado em: Sex Mar 25, 2016 20:03
- Formação Escolar: GRADUAÇÃO
- Área/Curso: Matemática
- Andamento: cursando
por jefersonab » Dom Mar 27, 2016 22:35
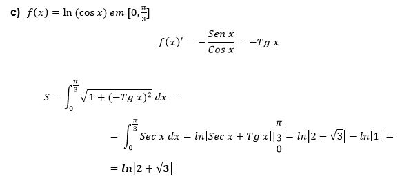
Fiz assim:
- Anexos
-

Editado pela última vez por
jefersonab em Dom Mar 27, 2016 22:45, em um total de 1 vez.
-
jefersonab
- Novo Usuário

-
- Mensagens: 9
- Registrado em: Sex Mar 25, 2016 20:03
- Formação Escolar: GRADUAÇÃO
- Área/Curso: Matemática
- Andamento: cursando
por jefersonab » Dom Mar 27, 2016 22:36
E o outro:
- Anexos
-

Editado pela última vez por
jefersonab em Dom Mar 27, 2016 22:46, em um total de 1 vez.
-
jefersonab
- Novo Usuário

-
- Mensagens: 9
- Registrado em: Sex Mar 25, 2016 20:03
- Formação Escolar: GRADUAÇÃO
- Área/Curso: Matemática
- Andamento: cursando
por jefersonab » Dom Mar 27, 2016 22:37
E esse:
- Anexos
-

-
jefersonab
- Novo Usuário

-
- Mensagens: 9
- Registrado em: Sex Mar 25, 2016 20:03
- Formação Escolar: GRADUAÇÃO
- Área/Curso: Matemática
- Andamento: cursando
por jefersonab » Dom Mar 27, 2016 22:38
Se tiver algum erro, por favor, corrijam e me digam onde errei!
Grato.
-
jefersonab
- Novo Usuário

-
- Mensagens: 9
- Registrado em: Sex Mar 25, 2016 20:03
- Formação Escolar: GRADUAÇÃO
- Área/Curso: Matemática
- Andamento: cursando
Voltar para Cálculo: Limites, Derivadas e Integrais
Se chegou até aqui, provavelmente tenha interesse pelos tópicos relacionados abaixo.
Aproveite a leitura. Bons estudos!
-
- Comprimento de Arcos
por petras » Seg Nov 28, 2016 18:48
- 0 Respostas
- 1461 Exibições
- Última mensagem por petras

Seg Nov 28, 2016 18:48
Trigonometria
-
- Cálculo de comprimento
por Micheletti » Sáb Abr 07, 2018 23:26
- 0 Respostas
- 3811 Exibições
- Última mensagem por Micheletti

Sáb Abr 07, 2018 23:26
Cálculo: Limites, Derivadas e Integrais
-
- Calculo do comprimento do arco.
por brunojorge29 » Seg Abr 23, 2012 11:21
- 3 Respostas
- 2964 Exibições
- Última mensagem por Russman

Seg Abr 23, 2012 22:32
Cálculo: Limites, Derivadas e Integrais
-
- [comprimento da curva] Exercicio de comprimento do grafico?
por didone » Sex Abr 12, 2013 17:44
- 1 Respostas
- 1885 Exibições
- Última mensagem por young_jedi

Seg Abr 15, 2013 21:44
Cálculo: Limites, Derivadas e Integrais
-
- ARCOS
por MERLAYNE » Qua Abr 04, 2012 23:28
- 1 Respostas
- 1552 Exibições
- Última mensagem por MarceloFantini

Qua Abr 04, 2012 23:54
Trigonometria
Usuários navegando neste fórum: Nenhum usuário registrado e 3 visitantes
Assunto:
Unesp - 95 Números Complexos
Autor:
Alucard014 - Dom Ago 01, 2010 18:22
(UNESP - 95) Seja L o Afixo de um Número complexo

em um sistema de coordenadas cartesianas xOy. Determine o número complexo b , de módulo igual a 1 , cujo afixo M pertence ao quarto quadrante e é tal que o ângulo LÔM é reto.
Assunto:
Unesp - 95 Números Complexos
Autor:
MarceloFantini - Qui Ago 05, 2010 17:27
Seja

o ângulo entre o eixo horizontal e o afixo

. O triângulo é retângulo com catetos

e

, tal que

. Seja

o ângulo complementar. Então

. Como

, o ângulo que o afixo

formará com a horizontal será

, mas negativo pois tem de ser no quarto quadrante. Se

, então

. Como módulo é um:

.
Logo, o afixo é

.
Powered by phpBB © phpBB Group.
phpBB Mobile / SEO by Artodia.