por jefersonab » Sáb Mar 26, 2016 17:27
Podem ajudar com esses cálculos?


Agradeço a força.
-
jefersonab
- Novo Usuário

-
- Mensagens: 9
- Registrado em: Sex Mar 25, 2016 20:03
- Formação Escolar: GRADUAÇÃO
- Área/Curso: Matemática
- Andamento: cursando
por jefersonab » Dom Mar 27, 2016 22:35
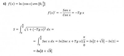
Fiz assim:
- Anexos
-

Editado pela última vez por
jefersonab em Dom Mar 27, 2016 22:45, em um total de 1 vez.
-
jefersonab
- Novo Usuário

-
- Mensagens: 9
- Registrado em: Sex Mar 25, 2016 20:03
- Formação Escolar: GRADUAÇÃO
- Área/Curso: Matemática
- Andamento: cursando
por jefersonab » Dom Mar 27, 2016 22:36
E o outro:
- Anexos
-

Editado pela última vez por
jefersonab em Dom Mar 27, 2016 22:46, em um total de 1 vez.
-
jefersonab
- Novo Usuário

-
- Mensagens: 9
- Registrado em: Sex Mar 25, 2016 20:03
- Formação Escolar: GRADUAÇÃO
- Área/Curso: Matemática
- Andamento: cursando
por jefersonab » Dom Mar 27, 2016 22:37
E esse:
- Anexos
-

-
jefersonab
- Novo Usuário

-
- Mensagens: 9
- Registrado em: Sex Mar 25, 2016 20:03
- Formação Escolar: GRADUAÇÃO
- Área/Curso: Matemática
- Andamento: cursando
por jefersonab » Dom Mar 27, 2016 22:38
Se tiver algum erro, por favor, corrijam e me digam onde errei!
Grato.
-
jefersonab
- Novo Usuário

-
- Mensagens: 9
- Registrado em: Sex Mar 25, 2016 20:03
- Formação Escolar: GRADUAÇÃO
- Área/Curso: Matemática
- Andamento: cursando
Voltar para Cálculo: Limites, Derivadas e Integrais
Se chegou até aqui, provavelmente tenha interesse pelos tópicos relacionados abaixo.
Aproveite a leitura. Bons estudos!
-
- Comprimento de Arcos
por petras » Seg Nov 28, 2016 18:48
- 0 Respostas
- 1462 Exibições
- Última mensagem por petras

Seg Nov 28, 2016 18:48
Trigonometria
-
- Cálculo de comprimento
por Micheletti » Sáb Abr 07, 2018 23:26
- 0 Respostas
- 3814 Exibições
- Última mensagem por Micheletti

Sáb Abr 07, 2018 23:26
Cálculo: Limites, Derivadas e Integrais
-
- Calculo do comprimento do arco.
por brunojorge29 » Seg Abr 23, 2012 11:21
- 3 Respostas
- 2970 Exibições
- Última mensagem por Russman

Seg Abr 23, 2012 22:32
Cálculo: Limites, Derivadas e Integrais
-
- [comprimento da curva] Exercicio de comprimento do grafico?
por didone » Sex Abr 12, 2013 17:44
- 1 Respostas
- 1888 Exibições
- Última mensagem por young_jedi

Seg Abr 15, 2013 21:44
Cálculo: Limites, Derivadas e Integrais
-
- ARCOS
por MERLAYNE » Qua Abr 04, 2012 23:28
- 1 Respostas
- 1557 Exibições
- Última mensagem por MarceloFantini

Qua Abr 04, 2012 23:54
Trigonometria
Usuários navegando neste fórum: Nenhum usuário registrado e 5 visitantes
Assunto:
Princípio da Indução Finita
Autor:
Fontelles - Dom Jan 17, 2010 14:42
Não sei onde este tópico se encaixaria. Então me desculpem.
Eu não entendi essa passagem, alguém pode me explicar?

O livro explica da seguinte forma.
1°) P(1) é verdadeira, pois

2°) Admitamos que

, seja verdadeira:

(hipótese da indução)
e provemos que

Temos: (Nessa parte)

Assunto:
Princípio da Indução Finita
Autor:
MarceloFantini - Seg Jan 18, 2010 01:55
Boa noite Fontelles.
Não sei se você está familiarizado com o
Princípio da Indução Finita, portanto vou tentar explicar aqui.
Ele dá uma equação, no caso:
E pergunta: ela vale para todo n? Como proceder: no primeiro passo, vemos se existe pelo menos um caso na qual ela é verdadeira:
Portanto, existe pelo menos um caso para o qual ela é verdadeira. Agora, supomos que

seja verdadeiro, e pretendemos provar que também é verdadeiro para

.
Daí pra frente, ele usou o primeiro membro para chegar em uma conclusão que validava a tese. Lembre-se: nunca saia da tese.
Espero ter ajudado.
Um abraço.
Assunto:
Princípio da Indução Finita
Autor:
Fontelles - Seg Jan 18, 2010 02:28
Mas, Fantini, ainda fiquei em dúvida na passagem que o autor fez (deixei uma msg entre o parêntese).
Obrigado pela ajuda, mesmo assim.
Abraço!
Assunto:
Princípio da Indução Finita
Autor:
Fontelles - Qui Jan 21, 2010 11:32
Galera, ajuda aí!
Por falar nisso, alguém conhece algum bom material sobre o assunto. O livro do Iezzi, Matemática Elementar vol. 1 não está tão bom.
Assunto:
Princípio da Indução Finita
Autor:
MarceloFantini - Qui Jan 21, 2010 12:25
Boa tarde Fontelles!
Ainda não estou certo de qual é a sua dúvida, mas tentarei novamente.
O que temos que provar é isso:

, certo? O autor começou do primeiro membro:
Isso é verdadeiro, certo? Ele apenas aplicou a distributiva. Depois, partiu para uma desigualdade:
Que é outra verdade. Agora, com certeza:
Agora, como

é

a

, e este por sua vez é sempre

que

, logo:
Inclusive, nunca é igual, sempre maior.
Espero (dessa vez) ter ajudado.
Um abraço.
Assunto:
Princípio da Indução Finita
Autor:
Caeros - Dom Out 31, 2010 10:39
Por curiosidade estava estudando indução finita e ao analisar a questão realmente utilizar a desigualdade apresentada foi uma grande sacada para este problema, só queria tirar uma dúvida sobre a sigla (c.q.d), o que significa mesmo?
Assunto:
Princípio da Indução Finita
Autor:
andrefahl - Dom Out 31, 2010 11:37
c.q.d. = como queriamos demonstrar =)
Assunto:
Princípio da Indução Finita
Autor:
Abelardo - Qui Mai 05, 2011 17:33
Fontelles, um bom livro para quem ainda está ''pegando'' o assunto é:'' Manual de Indução Matemática - Luís Lopes''. É baratinho e encontras na net com facilidade. Procura também no site da OBM, vais encontrar com facilidade material sobre PIF... em alguns sites que preparam alunos para colégios militares em geral também tem excelentes materiais.
Assunto:
Princípio da Indução Finita
Autor:
MarceloFantini - Qui Mai 05, 2011 20:05
Abelardo, faz 1 ano que o Fontelles não visita o site, da próxima vez verifique as datas.
Assunto:
Princípio da Indução Finita
Autor:
Vennom - Qui Abr 26, 2012 23:04
MarceloFantini escreveu:Abelardo, faz 1 ano que o Fontelles não visita o site, da próxima vez verifique as datas.
Rpz, faz um ano que o fulano não visita o site, mas ler esse comentário dele enquanto respondia a outro tópico me ajudou. hAUEhUAEhUAEH obrigado, Marcelo. Sua explicação de indução finita me sanou uma dúvida sobre outra coisa.

Powered by phpBB © phpBB Group.
phpBB Mobile / SEO by Artodia.