por MIchellegguimaraes37 » Sex Mai 15, 2015 06:39
Bom dia para todos!!!!!!!!!
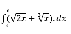
Estou com essa questão de integral e não estou conseguindo resolver. Algumas pessoas já tentaram me explicar mais nenhuma conseguiu resolver essa questão!
Minha dificuldade com integral, limites e derivada é grande, já tentei fazer e realmente não estou conseguindo! Peço a gentileza a ajuda de vocês para resolver essa questão, pois irá me ajudar e muito na prova!
Obrigada
- Anexos
-

- integral.png (4.77 KiB) Exibido 4080 vezes
-
MIchellegguimaraes37
- Novo Usuário

-
- Mensagens: 4
- Registrado em: Qua Mai 13, 2015 12:37
- Formação Escolar: GRADUAÇÃO
- Área/Curso: Administração
- Andamento: cursando
por Cleyson007 » Sex Mai 15, 2015 12:36
Já está resolvida em seu e-mail.
Att,
Prof° Clésio
-

Cleyson007
- Colaborador Voluntário

-
- Mensagens: 1228
- Registrado em: Qua Abr 30, 2008 00:08
- Formação Escolar: GRADUAÇÃO
- Área/Curso: Matemática UFJF
- Andamento: formado
por DanielFerreira » Dom Mai 17, 2015 13:29
Olá Prof. Clésio, boa tarde!
Gostaria de ver a resolução!
"Sabedoria é saber o que fazer;
habilidade é saber como fazer;
virtude é fazer."
(David S. Jordan)
--------------------------------------------------------------------------------
-
DanielFerreira
- Colaborador - em formação

-
- Mensagens: 1732
- Registrado em: Qui Jul 23, 2009 21:34
- Localização: Mangaratiba - RJ
- Formação Escolar: GRADUAÇÃO
- Área/Curso: Licenciatura em Matemática - IFRJ
- Andamento: formado
-
Voltar para Cálculo: Limites, Derivadas e Integrais
Se chegou até aqui, provavelmente tenha interesse pelos tópicos relacionados abaixo.
Aproveite a leitura. Bons estudos!
-
- Questão com integral
por Cristiano Tavares » Sáb Jun 11, 2011 00:06
- 1 Respostas
- 1795 Exibições
- Última mensagem por LuizAquino

Sáb Jun 11, 2011 18:25
Cálculo: Limites, Derivadas e Integrais
-
- Questão de Integral
por marcos » Ter Mai 26, 2020 00:54
- 0 Respostas
- 5351 Exibições
- Última mensagem por marcos

Ter Mai 26, 2020 00:54
Cálculo: Limites, Derivadas e Integrais
-
- QUESTÃO INTEGRAL COM CONSTANTES!
por iel » Seg Jun 01, 2009 22:38
- 1 Respostas
- 3232 Exibições
- Última mensagem por Molina

Ter Jun 02, 2009 06:24
Cálculo: Limites, Derivadas e Integrais
-
- [Dúvida] Questão de Integral
por ruisu » Sáb Mar 02, 2013 20:22
- 2 Respostas
- 2091 Exibições
- Última mensagem por ruisu

Seg Mar 04, 2013 11:56
Cálculo: Limites, Derivadas e Integrais
-
- [integral] questao sobre arco da curva
por sabrinasilveira » Seg Jun 29, 2015 00:11
- 0 Respostas
- 1572 Exibições
- Última mensagem por sabrinasilveira

Seg Jun 29, 2015 00:11
Cálculo: Limites, Derivadas e Integrais
Usuários navegando neste fórum: Nenhum usuário registrado e 16 visitantes
Assunto:
Princípio da Indução Finita
Autor:
Fontelles - Dom Jan 17, 2010 14:42
Não sei onde este tópico se encaixaria. Então me desculpem.
Eu não entendi essa passagem, alguém pode me explicar?

O livro explica da seguinte forma.
1°) P(1) é verdadeira, pois

2°) Admitamos que

, seja verdadeira:

(hipótese da indução)
e provemos que

Temos: (Nessa parte)

Assunto:
Princípio da Indução Finita
Autor:
MarceloFantini - Seg Jan 18, 2010 01:55
Boa noite Fontelles.
Não sei se você está familiarizado com o
Princípio da Indução Finita, portanto vou tentar explicar aqui.
Ele dá uma equação, no caso:
E pergunta: ela vale para todo n? Como proceder: no primeiro passo, vemos se existe pelo menos um caso na qual ela é verdadeira:
Portanto, existe pelo menos um caso para o qual ela é verdadeira. Agora, supomos que

seja verdadeiro, e pretendemos provar que também é verdadeiro para

.
Daí pra frente, ele usou o primeiro membro para chegar em uma conclusão que validava a tese. Lembre-se: nunca saia da tese.
Espero ter ajudado.
Um abraço.
Assunto:
Princípio da Indução Finita
Autor:
Fontelles - Seg Jan 18, 2010 02:28
Mas, Fantini, ainda fiquei em dúvida na passagem que o autor fez (deixei uma msg entre o parêntese).
Obrigado pela ajuda, mesmo assim.
Abraço!
Assunto:
Princípio da Indução Finita
Autor:
Fontelles - Qui Jan 21, 2010 11:32
Galera, ajuda aí!
Por falar nisso, alguém conhece algum bom material sobre o assunto. O livro do Iezzi, Matemática Elementar vol. 1 não está tão bom.
Assunto:
Princípio da Indução Finita
Autor:
MarceloFantini - Qui Jan 21, 2010 12:25
Boa tarde Fontelles!
Ainda não estou certo de qual é a sua dúvida, mas tentarei novamente.
O que temos que provar é isso:

, certo? O autor começou do primeiro membro:
Isso é verdadeiro, certo? Ele apenas aplicou a distributiva. Depois, partiu para uma desigualdade:
Que é outra verdade. Agora, com certeza:
Agora, como

é

a

, e este por sua vez é sempre

que

, logo:
Inclusive, nunca é igual, sempre maior.
Espero (dessa vez) ter ajudado.
Um abraço.
Assunto:
Princípio da Indução Finita
Autor:
Caeros - Dom Out 31, 2010 10:39
Por curiosidade estava estudando indução finita e ao analisar a questão realmente utilizar a desigualdade apresentada foi uma grande sacada para este problema, só queria tirar uma dúvida sobre a sigla (c.q.d), o que significa mesmo?
Assunto:
Princípio da Indução Finita
Autor:
andrefahl - Dom Out 31, 2010 11:37
c.q.d. = como queriamos demonstrar =)
Assunto:
Princípio da Indução Finita
Autor:
Abelardo - Qui Mai 05, 2011 17:33
Fontelles, um bom livro para quem ainda está ''pegando'' o assunto é:'' Manual de Indução Matemática - Luís Lopes''. É baratinho e encontras na net com facilidade. Procura também no site da OBM, vais encontrar com facilidade material sobre PIF... em alguns sites que preparam alunos para colégios militares em geral também tem excelentes materiais.
Assunto:
Princípio da Indução Finita
Autor:
MarceloFantini - Qui Mai 05, 2011 20:05
Abelardo, faz 1 ano que o Fontelles não visita o site, da próxima vez verifique as datas.
Assunto:
Princípio da Indução Finita
Autor:
Vennom - Qui Abr 26, 2012 23:04
MarceloFantini escreveu:Abelardo, faz 1 ano que o Fontelles não visita o site, da próxima vez verifique as datas.
Rpz, faz um ano que o fulano não visita o site, mas ler esse comentário dele enquanto respondia a outro tópico me ajudou. hAUEhUAEhUAEH obrigado, Marcelo. Sua explicação de indução finita me sanou uma dúvida sobre outra coisa.

Powered by phpBB © phpBB Group.
phpBB Mobile / SEO by Artodia.