por recollino » Sex Dez 18, 2009 16:49
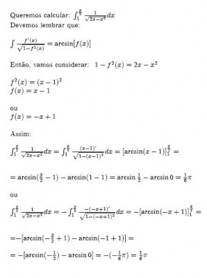
![\int_{1}^{3/2}f(x)=\int_{1}^{3/2} dx/\sqrt[2]{2x-x^2} \int_{1}^{3/2}f(x)=\int_{1}^{3/2} dx/\sqrt[2]{2x-x^2}](/latexrender/pictures/3ab166d4ac7d78a2a5ac2c86c52703c2.png)
já fiz por mudança de variável, mas não consigo chegar ao resultado esperado.
agradeço desde já ...
-
recollino
- Novo Usuário

-
- Mensagens: 2
- Registrado em: Sex Dez 18, 2009 12:50
- Formação Escolar: GRADUAÇÃO
- Área/Curso: Bacharel em Engenharia Química
- Andamento: cursando
por recollino » Sáb Dez 19, 2009 03:51
É isso mesmo !
Mtoo obrigada !
me ajudooou sim ... estava a dias com esse exercício na cabeça! ;]
Até maiiis
-
recollino
- Novo Usuário

-
- Mensagens: 2
- Registrado em: Sex Dez 18, 2009 12:50
- Formação Escolar: GRADUAÇÃO
- Área/Curso: Bacharel em Engenharia Química
- Andamento: cursando
Voltar para Cálculo: Limites, Derivadas e Integrais
Se chegou até aqui, provavelmente tenha interesse pelos tópicos relacionados abaixo.
Aproveite a leitura. Bons estudos!
-
- me ajuda nessa integral
por giboia90 » Sex Jun 14, 2013 13:30
- 2 Respostas
- 2561 Exibições
- Última mensagem por giboia90

Sex Jun 14, 2013 19:02
Cálculo: Limites, Derivadas e Integrais
-
- ajuda nessa questão
por zenildo » Dom Jun 05, 2016 23:36
- 4 Respostas
- 4756 Exibições
- Última mensagem por Thiago1986Iz

Dom Jul 17, 2016 17:07
Trigonometria
-
- AJuda nessa função
por joaouli1 » Qua Fev 27, 2019 14:05
- 1 Respostas
- 4808 Exibições
- Última mensagem por Gebe

Sex Mar 01, 2019 15:38
Funções
-
- Alguem me ajuda nessa equação exponencial
por raphael11234 » Qua Jun 08, 2016 00:07
- 1 Respostas
- 4603 Exibições
- Última mensagem por Cleyson007

Qua Jun 08, 2016 15:20
Equações
-
- [Limites]Ajuda nessa questão sobre limite
por IlgssonBraga » Sáb Jan 25, 2014 15:53
- 1 Respostas
- 3280 Exibições
- Última mensagem por Russman

Sáb Jan 25, 2014 17:51
Cálculo: Limites, Derivadas e Integrais
Usuários navegando neste fórum: Nenhum usuário registrado e 5 visitantes
Assunto:
método de contagem
Autor:
sinuca147 - Seg Mai 25, 2009 09:10
Veja este exercício:
Se A = {

} e B = {

}, então o número de elementos A

B é:
Eu tentei resolver este exercício e achei a resposta "três", mas surgiram muitas dúvidas aqui durante a resolução.
Para determinar os elementos do conjunto A, eu tive de basicamente fazer um lista de vinte dividido por todos os números naturais maiores que zero e menores que vinte e um, finalmente identificando como elementos do conjunto A os números 1, 2, 4, 5, 10 e 20. Acho que procedi de maneira correta, mas fiquei pensando aqui se não existiria um método mais "sofisticado" e prático para que eu pudesse identificar ou ao menos contar o número de elementos do conjunto A, existe?
No processo de determinação dos elementos do conjunto B o que achei foi basicamente os múltiplos de cinco e seus opostos, daí me surgiram estas dúvidas:
existe oposto de zero?
existe inverso de zero?
zero é par, certo?
sendo x um número natural, -x é múltiplo de x?
sendo z um número inteiro negativo, z é múltiplo de z?
sendo z um número inteiro negativo, -z é múltiplo de z?
A resposta é 3?
Obrigado.
Assunto:
método de contagem
Autor:
Molina - Seg Mai 25, 2009 20:42
Boa noite, sinuca.
Se A = {

} você concorda que n só pode ser de 1 a 20? Já que pertence aos naturais?
Ou seja, quais são os divisores de 20? Eles são seis: 1, 2, 4, 5, 10 e 20.
Logo, o conjunto A é
A = {1, 2, 4, 5, 10, 20}
Se B = {

} você concorda que x será os múltiplos de 5 (positivos e negativos)? Já que m pertence ao conjunto Z?
Logo, o conjunto B é
B = {... , -25, -20, -15, -10, -5, 0, 5, 10, 15, 20, 25, ...
Feito isso precisamos ver os números que está em ambos os conjuntos, que são:
5, 10 e 20 (3 valores, como você achou).
Vou responder rapidamente suas dúvidas porque meu tempo está estourando. Qualquer dúvida, coloque aqui, ok?
sinuca147 escreveu:No processo de determinação dos elementos do conjunto B o que achei foi basicamente os múltiplos de cinco e seus opostos, daí me surgiram estas dúvidas:
existe oposto de zero? sim, é o próprio zero
existe inverso de zero? não, pois não há nenhum número que multiplicado por zero resulte em 1
zero é par, certo? sim, pois pode ser escrito da forma de 2n, onde n pertence aos inteiros
sendo x um número natural, -x é múltiplo de x? Sim, pois basta pegar x e multiplicar por -1 que encontramos -x
sendo z um número inteiro negativo, z é múltiplo de z? Sim, tais perguntando se todo número é multiplo de si mesmo
sendo z um número inteiro negativo, -z é múltiplo de z? Sim, pois basta pegar -z e multiplicar por -1 que encontramos x
A resposta é 3? Sim, pelo menos foi o que vimos a cima
Bom estudo,

Assunto:
método de contagem
Autor:
sinuca147 - Seg Mai 25, 2009 23:35
Obrigado, mas olha só este link
http://www.colegioweb.com.br/matematica ... ro-natural
neste link encontra-se a a frase:
Múltiplo de um número natural é qualquer número que possa ser obtido multiplicando o número natural por 0, 1, 2, 3, 4, 5, etc.
Para determinarmos os múltiplos de 15, por exemplo, devemos multiplicá-lo pela sucessão dos números naturais:
Ou seja, de acordo com este link -5 não poderia ser múltiplo de 5, assim como 5 não poderia ser múltiplo de -5, eu sempre achei que não interessava o sinal na questão dos múltiplos, assim como você me confirmou, mas e essa informação contrária deste site, tem alguma credibilidade?
Há e claro, a coisa mais bacana você esqueceu, quero saber se existe algum método de contagem diferente do manual neste caso:
Para determinar os elementos do conjunto A, eu tive de basicamente fazer um lista de vinte dividido por todos os números naturais maiores que zero e menores que vinte e um, finalmente identificando como elementos do conjunto A os números 1, 2, 4, 5, 10 e 20. Acho que procedi de maneira correta, mas fiquei pensando aqui se não existiria um método mais "sofisticado" e prático para que eu pudesse identificar ou ao menos contar o número de elementos do conjunto A, existe?
Powered by phpBB © phpBB Group.
phpBB Mobile / SEO by Artodia.