por Elvis » Sáb Jun 13, 2015 13:42
Poderiam me ajudar com essa questão:
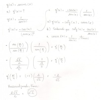
Seja g(x) = cosec x. calcule:
a) g'(x)
b)

-
Elvis
- Usuário Ativo

-
- Mensagens: 10
- Registrado em: Ter Jun 09, 2015 16:55
- Formação Escolar: GRADUAÇÃO
- Área/Curso: Licenciatura em Física
- Andamento: cursando
por Cleyson007 » Sáb Jun 13, 2015 16:56
Olá Elvis!
Sabemos que cossec (x) = 1/sen(x)
Para derivar a função g(x) = 1/sen(x) utilize a Regra do Quociente. Consegue fazer sozinho? Ao fazer o cálculo a letra "a" está resolvida.
Para a letra "b" basta substituir o valor de (pi/4) no resultado que encontrou na letra "a".
Qualquer dúvida comente aí
Caso queira conhecer melhor o nosso trabalho:
viewtopic.php?f=151&t=13614Abraço
-

Cleyson007
- Colaborador Voluntário

-
- Mensagens: 1228
- Registrado em: Qua Abr 30, 2008 00:08
- Formação Escolar: GRADUAÇÃO
- Área/Curso: Matemática UFJF
- Andamento: formado
por Elvis » Sáb Jun 13, 2015 17:37
A letra a deu -cosec x . cotg x
na letra b, tentei substituir pi/4, porém minha resposta ficou diferente do gabarito da questão. veja o que eu fiz:
pi/4 = 45º
f'(45º) = - cosec 45º * cotg 45º
f'(45º) = -
![\frac{2}{\sqrt[2]{2}} \frac{2}{\sqrt[2]{2}}](/latexrender/pictures/4521dea74a523c14a7b92ce389b9b903.png)
* 1
f'(45º) = -
![\frac{2}{\sqrt[2]{2}} \frac{2}{\sqrt[2]{2}}](/latexrender/pictures/4521dea74a523c14a7b92ce389b9b903.png)
Todavia, no gabarito a resposta correta é -
![\sqrt[2]{2} \sqrt[2]{2}](/latexrender/pictures/a8f8ae3924f6c44624745ca9e588cae3.png)
. Queria saber onde estou errando
-
Elvis
- Usuário Ativo

-
- Mensagens: 10
- Registrado em: Ter Jun 09, 2015 16:55
- Formação Escolar: GRADUAÇÃO
- Área/Curso: Licenciatura em Física
- Andamento: cursando
Voltar para Cálculo: Limites, Derivadas e Integrais
Se chegou até aqui, provavelmente tenha interesse pelos tópicos relacionados abaixo.
Aproveite a leitura. Bons estudos!
-
- Questão sobre Função Quadrática
por djodjo_2005 » Ter Out 09, 2012 22:04
- 2 Respostas
- 4948 Exibições
- Última mensagem por djodjo_2005

Ter Out 09, 2012 22:27
Funções
-
- Questão da UERJ sobre função do 1º grau
por kamillanjb » Qua Fev 16, 2011 19:47
- 7 Respostas
- 6263 Exibições
- Última mensagem por kamillanjb

Dom Fev 27, 2011 20:10
Funções
-
- Demonstração sobre derivada!!
por Thiagopereira » Sex Mar 30, 2012 00:17
- 1 Respostas
- 1150 Exibições
- Última mensagem por MarceloFantini

Sex Mar 30, 2012 01:14
Cálculo: Limites, Derivadas e Integrais
-
- Questão sobre PA e PG
por Carolziiinhaaah » Qua Jun 16, 2010 17:35
- 5 Respostas
- 5104 Exibições
- Última mensagem por Carolziiinhaaah

Qui Jun 17, 2010 13:31
Progressões
-
- Questão sobre palíndromos!
por mariasse » Sex Jul 09, 2010 16:13
- 2 Respostas
- 3335 Exibições
- Última mensagem por mariasse

Sáb Jul 10, 2010 19:14
Estatística
Usuários navegando neste fórum: Nenhum usuário registrado e 2 visitantes
Assunto:
Unesp - 95 Números Complexos
Autor:
Alucard014 - Dom Ago 01, 2010 18:22
(UNESP - 95) Seja L o Afixo de um Número complexo

em um sistema de coordenadas cartesianas xOy. Determine o número complexo b , de módulo igual a 1 , cujo afixo M pertence ao quarto quadrante e é tal que o ângulo LÔM é reto.
Assunto:
Unesp - 95 Números Complexos
Autor:
MarceloFantini - Qui Ago 05, 2010 17:27
Seja

o ângulo entre o eixo horizontal e o afixo

. O triângulo é retângulo com catetos

e

, tal que

. Seja

o ângulo complementar. Então

. Como

, o ângulo que o afixo

formará com a horizontal será

, mas negativo pois tem de ser no quarto quadrante. Se

, então

. Como módulo é um:

.
Logo, o afixo é

.
Powered by phpBB © phpBB Group.
phpBB Mobile / SEO by Artodia.