por Amorais » Dom Mar 24, 2013 20:34
Tenho essas questões que estou tentando resolver
já tentei usar integração por partes e por substituição.
Alguém pode me dá uma dica ?
A resposta dela já vem logo abaixo

-
Amorais
- Novo Usuário

-
- Mensagens: 2
- Registrado em: Dom Mar 24, 2013 20:24
- Formação Escolar: GRADUAÇÃO
- Área/Curso: Mecânica.
- Andamento: cursando
por nakagumahissao » Dom Mar 24, 2013 20:58
Tente fazer:

Mais para a frente, use:

Creio que isto deve ajudar.
Eu faço a diferença. E você?
Do Poema: Quanto os professores "fazem"?
De Taylor Mali
-
nakagumahissao
- Colaborador Voluntário

-
- Mensagens: 386
- Registrado em: Qua Abr 04, 2012 14:07
- Localização: Brazil
- Formação Escolar: GRADUAÇÃO
- Área/Curso: Lic. Matemática
- Andamento: cursando
-
por LuizAquino » Dom Mar 24, 2013 21:16
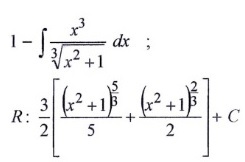
Amorais escreveu:Tenho essas questões que estou tentando resolver
já tentei usar integração por partes e por substituição.
Alguém pode me dá uma dica ?
A resposta dela já vem logo abaixo

- anexo.jpg (8.51 KiB) Exibido 23763 vezes
Usando as substituições

e

, temos que:
![\int \dfrac{x^3}{\sqrt[3]{x^2 + 1}}\, dx = \int \dfrac{x^2\cdot x}{\sqrt[3]{x^2 + 1}}\, dx \int \dfrac{x^3}{\sqrt[3]{x^2 + 1}}\, dx = \int \dfrac{x^2\cdot x}{\sqrt[3]{x^2 + 1}}\, dx](/latexrender/pictures/7c2e592b240baf10af2021c948a44501.png)
![= \dfrac{1}{2}\int \dfrac{u - 1}{\sqrt[3]{u}}\, du = \dfrac{1}{2}\int \dfrac{u - 1}{\sqrt[3]{u}}\, du](/latexrender/pictures/56413dcff0e32a0f4b5e82254bddb980.png)
![= \dfrac{1}{2}\int \dfrac{u}{\sqrt[3]{u}}\, du - \dfrac{1}{2} \int \dfrac{1}{\sqrt[3]{u}}\,du = \dfrac{1}{2}\int \dfrac{u}{\sqrt[3]{u}}\, du - \dfrac{1}{2} \int \dfrac{1}{\sqrt[3]{u}}\,du](/latexrender/pictures/a6a4187d24558a4db47136282eaa140d.png)

Agora tente concluir o exercício a partir daí.
Observação 1O gabarito apresentado contém um erro. Na verdade, o correto será:
Observação 2Por favor, antes de postar um tópico leia as
Regras deste Fórum. Em especial, vide a regra 3.
Nós recomendamos também que você leia o tópico abaixo:
DICA: Escrevendo Fórmulas com LaTeX via BBCodeviewtopic.php?f=9&t=74
-

LuizAquino
- Colaborador Moderador - Professor

-
- Mensagens: 2654
- Registrado em: Sex Jan 21, 2011 09:11
- Localização: Teófilo Otoni - MG
- Formação Escolar: PÓS-GRADUAÇÃO
- Área/Curso: Mestrado - Modelagem Computacional
- Andamento: formado
-
por Amorais » Dom Mar 24, 2013 21:37
Obrigado amigos LuizAquino, nakagumahissao.
Me decupem pelo erro na postagem.
-
Amorais
- Novo Usuário

-
- Mensagens: 2
- Registrado em: Dom Mar 24, 2013 20:24
- Formação Escolar: GRADUAÇÃO
- Área/Curso: Mecânica.
- Andamento: cursando
Voltar para Cálculo: Limites, Derivadas e Integrais
Se chegou até aqui, provavelmente tenha interesse pelos tópicos relacionados abaixo.
Aproveite a leitura. Bons estudos!
-
- qual é a dica
por darlan2009 » Qua Ago 29, 2012 10:23
- 2 Respostas
- 23376 Exibições
- Última mensagem por Daisy221

Qua Mai 31, 2017 05:21
Análise Combinatória
-
- Dica de livro - Trigonometria
por renanrdaros » Dom Mar 27, 2011 04:06
- 4 Respostas
- 22139 Exibições
- Última mensagem por renanrdaros

Qui Mar 31, 2011 11:40
Trigonometria
-
- Integral - Resolução de integral indefinida.
por brunoisoppo » Qui Mar 03, 2016 15:26
- 0 Respostas
- 3449 Exibições
- Última mensagem por brunoisoppo

Qui Mar 03, 2016 15:26
Cálculo: Limites, Derivadas e Integrais
-
- [DICA] Livro de Matemática Ensino Fundamental
por invader_zim » Seg Fev 11, 2013 14:54
- 9 Respostas
- 9652 Exibições
- Última mensagem por alex_08

Ter Fev 12, 2013 18:01
Álgebra Elementar
-
- [Funções injetoras/sobrejetoras] Dica para determinar
por vitor_jo » Qua Jan 21, 2015 05:56
- 2 Respostas
- 5545 Exibições
- Última mensagem por vitor_jo

Qua Jan 21, 2015 16:47
Funções
Usuários navegando neste fórum: Nenhum usuário registrado e 5 visitantes
Assunto:
Taxa de variação
Autor:
felipe_ad - Ter Jun 29, 2010 19:44
Como resolvo uma questao desse tipo:
Uma usina de britagem produz pó de pedra, que ao ser depositado no solo, forma uma pilha cônica onde a altura é aproximadamente igual a 4/3 do raio da base.
(a) Determinar a razão de variação do volume em relação ao raio da base.
(b) Se o raio da base varia a uma taxa de 20 cm/s, qual a razão de variação do volume quando o raio mede 2 m?
A letra (a) consegui resolver e cheguei no resultado correto de

Porem, nao consegui chegar a um resultado correto na letra (b). A resposta certa é
Alguem me ajuda? Agradeço desde já.
Assunto:
Taxa de variação
Autor:
Elcioschin - Qua Jun 30, 2010 20:47
V = (1/3)*pi*r²*h ----> h = 4r/3
V = (1/3)*pi*r²*(4r/3) ----> V = (4*pi/9)*r³
Derivando:
dV/dr = (4*pi/9)*(3r²) -----> dV/dr = 4pi*r²/3
Para dr = 20 cm/s = 0,2 m/s e R = 2 m ----> dV/0,2 = (4*pi*2²)/3 ----> dV = (3,2/3)*pi ----> dV ~= 1,066*pi m³/s
Assunto:
Taxa de variação
Autor:
Guill - Ter Fev 21, 2012 21:17
Temos que o volume é dado por:
Temos, portanto, o volume em função do raio. Podemos diferenciar implicitamente ambos os lados da equação em função do tempo, para encontrar as derivadas em função do tempo:
Sabendo que a taxa de variação do raio é 0,2 m/s e que queremos ataxa de variação do volume quando o raio for 2 m:

Powered by phpBB © phpBB Group.
phpBB Mobile / SEO by Artodia.