por jose henrique » Sex Nov 12, 2010 21:20
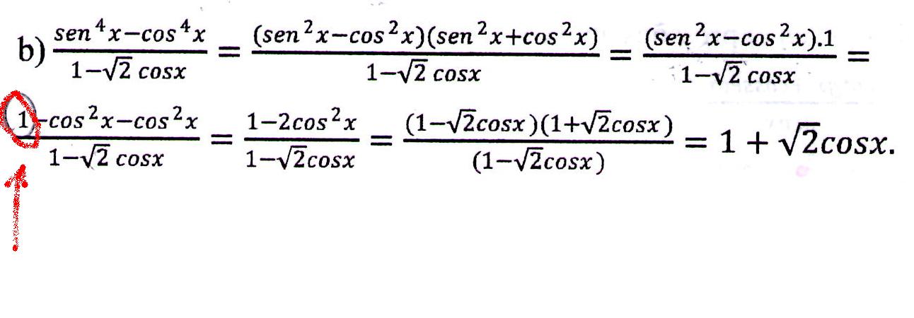
olá pessoal estou com um exercício que eu não compreendi muito bem, principalmente o porquê do número 1 que se encontra marcado de vermelho no arquivo anexo. obrigado!!!
-
jose henrique
- Colaborador Voluntário

-
- Mensagens: 129
- Registrado em: Qui Ago 12, 2010 20:32
- Formação Escolar: ENSINO MÉDIO
- Área/Curso: outros
- Andamento: formado
por Neperiano » Sex Nov 12, 2010 21:38
Ola
Sen^2x + Cos^2x = 1
Logo Sen^2x = 1 - cos^2x
Atenciosamente
Sómente os mortos conhecem o fim da guerra
"Platão"
-

Neperiano
- Colaborador Voluntário

-
- Mensagens: 960
- Registrado em: Seg Jun 16, 2008 17:09
- Formação Escolar: GRADUAÇÃO
- Área/Curso: Engenharia de Produção
- Andamento: cursando
por MarceloFantini » Sex Nov 12, 2010 22:58
Vou fazer em Latex para não confundir:

Relação fundamental da trigonometria.
Futuro MATEMÁTICO
-
MarceloFantini
- Colaborador Moderador

-
- Mensagens: 3126
- Registrado em: Seg Dez 14, 2009 11:41
- Formação Escolar: GRADUAÇÃO
- Andamento: formado
Voltar para Trigonometria
Se chegou até aqui, provavelmente tenha interesse pelos tópicos relacionados abaixo.
Aproveite a leitura. Bons estudos!
-
- Resolução de exercício
por Flavia Araujo » Qui Mai 21, 2009 14:38
- 28 Respostas
- 35744 Exibições
- Última mensagem por Neperiano

Ter Fev 23, 2010 13:50
Progressões
-
- Resolução de Exercicio Urgente
por Mimizinha » Qua Mar 19, 2008 18:13
- 7 Respostas
- 18255 Exibições
- Última mensagem por Mimizinha

Qui Mar 20, 2008 12:58
Sistemas de Equações
-
- Ajuda com resolução do exercicio
por Mimizinha » Ter Abr 01, 2008 10:27
- 3 Respostas
- 5766 Exibições
- Última mensagem por admin

Ter Abr 01, 2008 23:59
Funções
-
- [LIMITE] Resolução de exercício
por mih123 » Seg Set 03, 2012 22:41
- 4 Respostas
- 3188 Exibições
- Última mensagem por mih123

Qua Set 12, 2012 11:19
Cálculo: Limites, Derivadas e Integrais
-
- [exercicio de probabilidade] resolução
por jumz » Qui Set 13, 2012 16:06
- 2 Respostas
- 2682 Exibições
- Última mensagem por jumz

Sex Set 14, 2012 12:31
Probabilidade
Usuários navegando neste fórum: Nenhum usuário registrado e 1 visitante
Assunto:
Conjunto dos números racionais.
Autor:
scggomes - Sex Fev 18, 2011 10:38
Olá ! Tenho essa dúvida e não consigo montar o problema para resolução:
Qual é o racional não nulo cujo o quadrado é igual à sua terça parte ?
Grata.
Assunto:
Conjunto dos números racionais.
Autor:
MarceloFantini - Sex Fev 18, 2011 12:27

Assunto:
Conjunto dos números racionais.
Autor:
scggomes - Sex Fev 18, 2011 12:55
também pensei que fosse assim, mas a resposta é

.
Obrigada Fantini.
Assunto:
Conjunto dos números racionais.
Autor:
MarceloFantini - Sex Fev 18, 2011 13:01
Como

:
O que você fez?
Assunto:
Conjunto dos números racionais.
Autor:
scggomes - Sex Fev 18, 2011 16:17
eu só consegui fazer a igualdade, não consegui desenvolver o restante, não pensei em fatoração, mas agora entendi o que vc fez.
Obrigada.
Powered by phpBB © phpBB Group.
phpBB Mobile / SEO by Artodia.