-
lucassouza
- Usuário Dedicado

-
- Mensagens: 29
- Registrado em: Seg Set 15, 2014 15:03
- Formação Escolar: SUPLETIVO
- Andamento: cursando
por adauto martins » Sex Nov 07, 2014 10:43
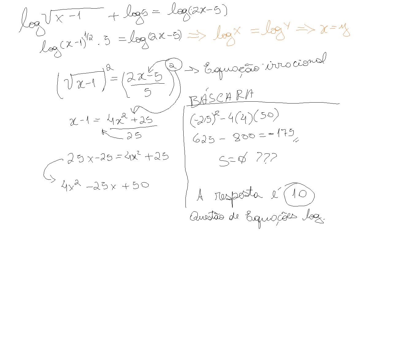
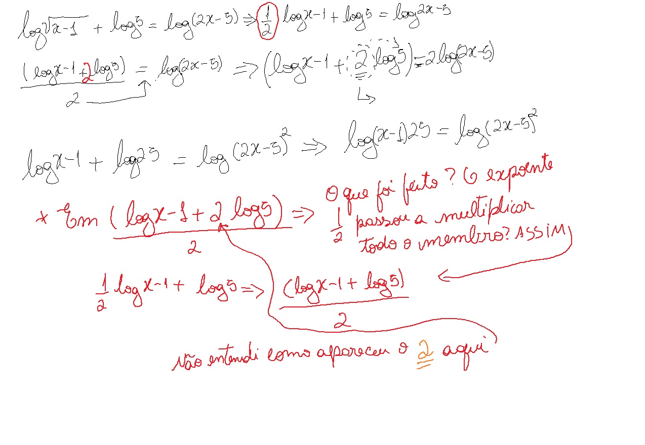
tudo bem lucas,
vc sabe somar fraçoes,entao ...(a/2)+b=c...(a+2.b)/2=c...a+2.b=2c,foi isso q. usei na passagem q. vc grifou,estude soma de fraçoes e etc,volte la e refaça(exercicio)...agora,por ultimo na soluçao ...a resposta e 10(esqueci de ver o dominio da expressao)...entao vamos la...y=log x,e definida para

...na expressao temos...log(x-1)

,logo a expressao sera valida p/ x

nao sera soluçao...logo a unica soluçao e p/x=10
-
adauto martins
- Colaborador Voluntário

-
- Mensagens: 1171
- Registrado em: Sex Set 05, 2014 19:37
- Formação Escolar: EJA
- Área/Curso: matematica
- Andamento: cursando
Voltar para Logaritmos
Se chegou até aqui, provavelmente tenha interesse pelos tópicos relacionados abaixo.
Aproveite a leitura. Bons estudos!
-
- Taxa de retorno com múltiplos depósitos/saques
por noiahei » Sex Ago 17, 2012 19:22
- 2 Respostas
- 4062 Exibições
- Última mensagem por noiahei

Dom Jun 21, 2020 23:14
Matemática Financeira
-
- me ajudem valor presente liquido e taxa interna de retorno
por wellersonobelix » Dom Mai 31, 2015 17:18
- 0 Respostas
- 5538 Exibições
- Última mensagem por wellersonobelix

Dom Mai 31, 2015 17:18
Matemática Financeira
-
- [Equações] Me ajudem nessas equações do meu trabalho!
por henriquea92 » Sáb Jun 01, 2013 15:53
- 0 Respostas
- 3155 Exibições
- Última mensagem por henriquea92

Sáb Jun 01, 2013 15:53
Equações
-
- [Equações] Determinar Frações de equações
por fenixxx » Ter Fev 28, 2012 21:28
- 2 Respostas
- 4155 Exibições
- Última mensagem por fenixxx

Qua Fev 29, 2012 17:08
Funções
-
- Equações cartesianas e equações paramétricas
por Victor Mello » Sáb Ago 23, 2014 16:24
- 1 Respostas
- 3432 Exibições
- Última mensagem por Russman

Sáb Ago 23, 2014 18:29
Funções
Usuários navegando neste fórum: Nenhum usuário registrado e 1 visitante
Assunto:
Unesp - 95 Números Complexos
Autor:
Alucard014 - Dom Ago 01, 2010 18:22
(UNESP - 95) Seja L o Afixo de um Número complexo

em um sistema de coordenadas cartesianas xOy. Determine o número complexo b , de módulo igual a 1 , cujo afixo M pertence ao quarto quadrante e é tal que o ângulo LÔM é reto.
Assunto:
Unesp - 95 Números Complexos
Autor:
MarceloFantini - Qui Ago 05, 2010 17:27
Seja

o ângulo entre o eixo horizontal e o afixo

. O triângulo é retângulo com catetos

e

, tal que

. Seja

o ângulo complementar. Então

. Como

, o ângulo que o afixo

formará com a horizontal será

, mas negativo pois tem de ser no quarto quadrante. Se

, então

. Como módulo é um:

.
Logo, o afixo é

.
Powered by phpBB © phpBB Group.
phpBB Mobile / SEO by Artodia.