por vyhonda » Qua Mai 12, 2010 18:32
Galera esse exercício é do caderno de exercícios do anglo. O primeiro item eu consegui fazer mas não entendi direito....

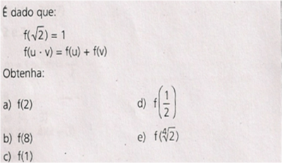
- Exercicio
Valeu pela Ajuda!
-
vyhonda
- Usuário Ativo

-
- Mensagens: 24
- Registrado em: Dom Jan 17, 2010 20:03
- Formação Escolar: GRADUAÇÃO
- Área/Curso: Engenharia de Materiais - Unesp
- Andamento: cursando
por Molina » Qua Mai 12, 2010 19:36
Boa noite,
Acho que uma deve ser consequencia da outra. Resolvendo o a)...

Usando o segundo dado do enunciado...


Diego Molina |
CV |
FB |
.COMEquipe AjudaMatemática.com"Existem 10 tipos de pessoas: as que conhecem o sistema binário e as que não conhecem."
-

Molina
- Colaborador Moderador - Professor

-
- Mensagens: 1551
- Registrado em: Dom Jun 01, 2008 14:10
- Formação Escolar: GRADUAÇÃO
- Área/Curso: Licenciatura em Matemática - UFSC
- Andamento: formado
Voltar para Funções
Se chegou até aqui, provavelmente tenha interesse pelos tópicos relacionados abaixo.
Aproveite a leitura. Bons estudos!
-
- sistema de funções de 1° grau
por ssousa3 » Dom Mar 27, 2011 03:47
- 8 Respostas
- 4654 Exibições
- Última mensagem por LuizAquino

Dom Mar 27, 2011 14:51
Funções
-
- Funçoes de segundo grau
por Fabricio dalla » Sex Jun 17, 2011 14:28
- 2 Respostas
- 1693 Exibições
- Última mensagem por Fabricio dalla

Dom Jun 19, 2011 15:53
Funções
-
- Funções do 2º Grau - Duvida sobre desenvolvimento
por d4rwin » Qua Set 09, 2015 10:14
- 1 Respostas
- 1564 Exibições
- Última mensagem por nakagumahissao

Ter Out 06, 2015 14:53
Funções
-
- funções 2° grau e função afim. ajudaaa por favor!!
por luluh132 » Seg Mai 16, 2011 13:58
- 1 Respostas
- 1864 Exibições
- Última mensagem por Neperiano

Sex Out 28, 2011 15:31
Funções
-
- EXERCÍCIO FUNÇÕES 2º GRAU encontrar a diferença e intersecçã
por kalanicastanho » Seg Jun 13, 2016 20:15
- 0 Respostas
- 1342 Exibições
- Última mensagem por kalanicastanho

Seg Jun 13, 2016 20:15
Funções
Usuários navegando neste fórum: Nenhum usuário registrado e 12 visitantes
Assunto:
Princípio da Indução Finita
Autor:
Fontelles - Dom Jan 17, 2010 14:42
Não sei onde este tópico se encaixaria. Então me desculpem.
Eu não entendi essa passagem, alguém pode me explicar?

O livro explica da seguinte forma.
1°) P(1) é verdadeira, pois

2°) Admitamos que

, seja verdadeira:

(hipótese da indução)
e provemos que

Temos: (Nessa parte)

Assunto:
Princípio da Indução Finita
Autor:
MarceloFantini - Seg Jan 18, 2010 01:55
Boa noite Fontelles.
Não sei se você está familiarizado com o
Princípio da Indução Finita, portanto vou tentar explicar aqui.
Ele dá uma equação, no caso:
E pergunta: ela vale para todo n? Como proceder: no primeiro passo, vemos se existe pelo menos um caso na qual ela é verdadeira:
Portanto, existe pelo menos um caso para o qual ela é verdadeira. Agora, supomos que

seja verdadeiro, e pretendemos provar que também é verdadeiro para

.
Daí pra frente, ele usou o primeiro membro para chegar em uma conclusão que validava a tese. Lembre-se: nunca saia da tese.
Espero ter ajudado.
Um abraço.
Assunto:
Princípio da Indução Finita
Autor:
Fontelles - Seg Jan 18, 2010 02:28
Mas, Fantini, ainda fiquei em dúvida na passagem que o autor fez (deixei uma msg entre o parêntese).
Obrigado pela ajuda, mesmo assim.
Abraço!
Assunto:
Princípio da Indução Finita
Autor:
Fontelles - Qui Jan 21, 2010 11:32
Galera, ajuda aí!
Por falar nisso, alguém conhece algum bom material sobre o assunto. O livro do Iezzi, Matemática Elementar vol. 1 não está tão bom.
Assunto:
Princípio da Indução Finita
Autor:
MarceloFantini - Qui Jan 21, 2010 12:25
Boa tarde Fontelles!
Ainda não estou certo de qual é a sua dúvida, mas tentarei novamente.
O que temos que provar é isso:

, certo? O autor começou do primeiro membro:
Isso é verdadeiro, certo? Ele apenas aplicou a distributiva. Depois, partiu para uma desigualdade:
Que é outra verdade. Agora, com certeza:
Agora, como

é

a

, e este por sua vez é sempre

que

, logo:
Inclusive, nunca é igual, sempre maior.
Espero (dessa vez) ter ajudado.
Um abraço.
Assunto:
Princípio da Indução Finita
Autor:
Caeros - Dom Out 31, 2010 10:39
Por curiosidade estava estudando indução finita e ao analisar a questão realmente utilizar a desigualdade apresentada foi uma grande sacada para este problema, só queria tirar uma dúvida sobre a sigla (c.q.d), o que significa mesmo?
Assunto:
Princípio da Indução Finita
Autor:
andrefahl - Dom Out 31, 2010 11:37
c.q.d. = como queriamos demonstrar =)
Assunto:
Princípio da Indução Finita
Autor:
Abelardo - Qui Mai 05, 2011 17:33
Fontelles, um bom livro para quem ainda está ''pegando'' o assunto é:'' Manual de Indução Matemática - Luís Lopes''. É baratinho e encontras na net com facilidade. Procura também no site da OBM, vais encontrar com facilidade material sobre PIF... em alguns sites que preparam alunos para colégios militares em geral também tem excelentes materiais.
Assunto:
Princípio da Indução Finita
Autor:
MarceloFantini - Qui Mai 05, 2011 20:05
Abelardo, faz 1 ano que o Fontelles não visita o site, da próxima vez verifique as datas.
Assunto:
Princípio da Indução Finita
Autor:
Vennom - Qui Abr 26, 2012 23:04
MarceloFantini escreveu:Abelardo, faz 1 ano que o Fontelles não visita o site, da próxima vez verifique as datas.
Rpz, faz um ano que o fulano não visita o site, mas ler esse comentário dele enquanto respondia a outro tópico me ajudou. hAUEhUAEhUAEH obrigado, Marcelo. Sua explicação de indução finita me sanou uma dúvida sobre outra coisa.

Powered by phpBB © phpBB Group.
phpBB Mobile / SEO by Artodia.