por DanieldeLucena » Seg Set 20, 2010 18:03
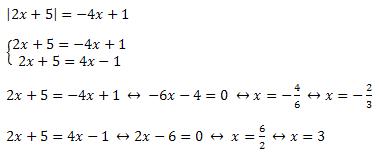
Resolver, em R, a equação |2x+5|=-4x+1

- função modular.JPG (9.22 KiB) Exibido 2248 vezes
A resposta desconsidera o x=3 prq -4x+1>=0
Estou certo ou errado .... Gostaria que alguem me esclarece-se isso ...
-
DanieldeLucena
- Novo Usuário

-
- Mensagens: 1
- Registrado em: Seg Set 20, 2010 17:14
- Formação Escolar: ENSINO MÉDIO
- Andamento: formado
por MarceloFantini » Seg Set 20, 2010 19:35
Está certo.
Futuro MATEMÁTICO
-
MarceloFantini
- Colaborador Moderador

-
- Mensagens: 3126
- Registrado em: Seg Dez 14, 2009 11:41
- Formação Escolar: GRADUAÇÃO
- Andamento: formado
Voltar para Funções
Se chegou até aqui, provavelmente tenha interesse pelos tópicos relacionados abaixo.
Aproveite a leitura. Bons estudos!
-
- Funçao modular
por Fiel8 » Sex Jul 10, 2009 19:25
- 1 Respostas
- 2622 Exibições
- Última mensagem por Molina

Sex Jul 10, 2009 21:50
Funções
-
- Função Modular
por geriane » Sáb Abr 03, 2010 21:32
- 3 Respostas
- 3122 Exibições
- Última mensagem por Molina

Dom Abr 04, 2010 12:57
Funções
-
- Funçao modular
por Skcedas » Qua Mai 26, 2010 19:29
- 6 Respostas
- 5381 Exibições
- Última mensagem por netlopes

Ter Jun 08, 2010 18:11
Funções
-
- Função Modular
por Pri Ferreira » Ter Nov 22, 2011 18:20
- 1 Respostas
- 1878 Exibições
- Última mensagem por LuizAquino

Ter Nov 22, 2011 18:56
Funções
-
- Função Modular
por Wanzinha » Sáb Dez 03, 2011 19:35
- 2 Respostas
- 2415 Exibições
- Última mensagem por MarceloFantini

Sáb Dez 03, 2011 22:56
Funções
Usuários navegando neste fórum: Nenhum usuário registrado e 0 visitantes
Assunto:
Funções
Autor:
Emilia - Sex Dez 03, 2010 13:24
Preciso de ajuda no seguinte problema:
O governo de um Estado Brasileiro mudou a contribuição previdenciária de seus contribuintes. era de 6% sobre qualquer salário; passou para 11% sobre o que excede R$1.200,00 nos salários. Por exemplo, sobre uma salário de R$1.700,00, a contribuição anterior era: 0,06x R$1.700,00 = R$102,00; e a atual é: 0,11x(R$1.700,00 - R$1.200,00) = R$55,00.
i. Determine as funções que fornecem o valor das contribuições em função do valor x do salário antes e depois da mudança na forma de cobrança.
ii. Esboce seus gráficos.
iii. Determine os valores de salários para os quais:
- a contribuição diminuiu;
- a contribuição permaneceu a mesma;
- a contribuição aumentou.
Powered by phpBB © phpBB Group.
phpBB Mobile / SEO by Artodia.