por Cleyson007 » Qua Nov 04, 2015 14:19
Matheusgdp, boa tarde!
Houve um problema na hora de transcrever a função usando o LaTeX. Confirme por favor o que significa o A^² que aparece na função para que eu possa melhor ajudá-lo.
Abraço
-

Cleyson007
- Colaborador Voluntário

-
- Mensagens: 1228
- Registrado em: Qua Abr 30, 2008 00:08
- Formação Escolar: GRADUAÇÃO
- Área/Curso: Matemática UFJF
- Andamento: formado
por Matheusgdp » Qua Nov 04, 2015 21:00
Boa noite, Cleyson!
Esse A^² realmente não deveria estar aí, mas não consegui retriar ele do LaTex e esqueci de especificar isso. O correto seria sec²x, o restate continua como está, esse A^² não deveria existir aí.
Obrigado pela compreensão! Abraço!
-
Matheusgdp
- Novo Usuário

-
- Mensagens: 5
- Registrado em: Qua Set 16, 2015 03:22
- Formação Escolar: GRADUAÇÃO
- Área/Curso: Bacharelado em engenharia civil
- Andamento: cursando
por Cleyson007 » Qui Nov 05, 2015 10:34
Matheusgdp, bom dia!
Vamos lá meu amigo.. Estou entrando no fórum agora porque estava envolvido na resolução de algumas listas de exercícios que chegaram por e-mail, mas acredito ainda estar há tempo
Para facilitar o entendimento faça a

e
![v=\sqrt[]{x} v=\sqrt[]{x}](/latexrender/pictures/ac9c5bcaa4ffcfab429959154047deab.png)
. Dessa forma, temos:

Agora, vamos calcular a

.
A regra de derivação aqui será a seguinte:
Regra da PotênciaO expoente 1/2 passará para frente do parêntese multiplicando o parêntese (agora elevado a -1/2 (ou seja, 1/2 - 1)), multiplicando também a derivada interna do parêntese (u' * v + v' * u --> Regra do Produto).
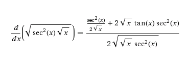
Seguindo estes passos, obterás como resposta (
em anexo).
Abraço, e bons estudos.
Talvez queira conhecer o meu trabalho, poderei lhe ajudar bastante

Acesse:
viewtopic.php?f=151&t=13614
- Anexos
-

- Derivda - Matheusgdp.png (3.95 KiB) Exibido 3410 vezes
-

Cleyson007
- Colaborador Voluntário

-
- Mensagens: 1228
- Registrado em: Qua Abr 30, 2008 00:08
- Formação Escolar: GRADUAÇÃO
- Área/Curso: Matemática UFJF
- Andamento: formado
por Matheusgdp » Sex Nov 06, 2015 01:04
Muito obrigado, meu dileto! Seguindo seus passos consegui chegar exatamente no resultado anexado, e ainda fiz algumas substituições trigonométricas. Obrigado pela grande ajuda, e por ter apresentado seu trabalho! Irei procurá-lo com toda certeza quando necessário! Um grande abraço!
-
Matheusgdp
- Novo Usuário

-
- Mensagens: 5
- Registrado em: Qua Set 16, 2015 03:22
- Formação Escolar: GRADUAÇÃO
- Área/Curso: Bacharelado em engenharia civil
- Andamento: cursando
por Cleyson007 » Sex Nov 06, 2015 08:14
Está ok meu caro
Fico feliz em poder lhe ajudar.
Aguardo o contato quando necessitar.
Abraço,
Prof° Clésio
-

Cleyson007
- Colaborador Voluntário

-
- Mensagens: 1228
- Registrado em: Qua Abr 30, 2008 00:08
- Formação Escolar: GRADUAÇÃO
- Área/Curso: Matemática UFJF
- Andamento: formado
Voltar para Cálculo: Limites, Derivadas e Integrais
Se chegou até aqui, provavelmente tenha interesse pelos tópicos relacionados abaixo.
Aproveite a leitura. Bons estudos!
-
- Derivada trigonometrica
por mayara359 » Ter Jun 23, 2015 16:25
- 1 Respostas
- 2424 Exibições
- Última mensagem por Cleyson007

Qua Jun 24, 2015 17:33
Cálculo: Limites, Derivadas e Integrais
-
- [Cálculo] Derivada trigonométrica
por ericamila2 » Sáb Set 24, 2011 22:39
- 1 Respostas
- 1318 Exibições
- Última mensagem por LuizAquino

Sáb Set 24, 2011 23:14
Cálculo: Limites, Derivadas e Integrais
-
- Derivada de Função Trigonométrica.
por Sobreira » Dom Dez 02, 2012 14:17
- 2 Respostas
- 3419 Exibições
- Última mensagem por MarceloFantini

Seg Dez 03, 2012 00:08
Cálculo: Limites, Derivadas e Integrais
-
- [AJUDA] Duvida de derivada trigonométrica
por Erick Johnny » Ter Mai 29, 2012 11:01
- 3 Respostas
- 2334 Exibições
- Última mensagem por LuizAquino

Ter Mai 29, 2012 13:37
Cálculo: Limites, Derivadas e Integrais
-
- Derivada de uma função trigonométrica [Resposta impossível]
por Matheus Lacombe O » Dom Dez 02, 2012 13:57
- 3 Respostas
- 2949 Exibições
- Última mensagem por DanielFerreira

Dom Dez 02, 2012 17:51
Cálculo: Limites, Derivadas e Integrais
Usuários navegando neste fórum: Nenhum usuário registrado e 12 visitantes
Assunto:
função demanda
Autor:
ssousa3 - Dom Abr 03, 2011 20:55
alguém poderia me ajudar nesse exercício aqui Uma loja de CDs adquire cada unidade por R$20,00 e a revende por R$30,00. Nestas condições,
a quantidade mensal que consegue vender é 500 unidades. O proprietário estima que, reduzindo o preço para R$28,00, conseguirá vender 600 unidades por mês.
a) Obtenha a função demanda, supondo ser linear
Eu faço ensino médio mas compro apostilas de concursos para me preparar para mercado de trabalho e estudar sozinho não é fácil. Se alguém puder me ajudar aqui fico grato
Assunto:
função demanda
Autor:
ssousa3 - Seg Abr 04, 2011 14:30
Gente alguém por favor me ensine a calcular a fórmula da função demanda

Powered by phpBB © phpBB Group.
phpBB Mobile / SEO by Artodia.