por matheus soder » Dom Nov 30, 2014 17:14
Calcular X e Y no sistema de equações.
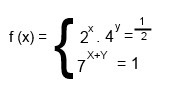
Olhar o anexo
- Anexos
-

- Questão
- questão 8.jpg (3.75 KiB) Exibido 1723 vezes
-
matheus soder
- Novo Usuário

-
- Mensagens: 6
- Registrado em: Dom Nov 30, 2014 17:12
- Formação Escolar: ENSINO MÉDIO
- Andamento: cursando
por nakagumahissao » Dom Nov 30, 2014 18:22
Matheus,
Vamos alterar o sistema para valores semelhantes elevados à potências que podem ser diferentes, ou seja:
Da primeira equação tiramos que:

Da segunda equação obtemos:

Das duas últimas equações, como as bases são iguais em ambos os lados da equação, podemos dizer que:
[A]

[B]

Usando este último resultado [B] na primeira equação [A], teremos:


Usando este resultado em [B] no qual já sabemos que y = -x, obtemos que:

Que são os valores que desejávamos obter.
Eu faço a diferença. E você?
Do Poema: Quanto os professores "fazem"?
De Taylor Mali
-
nakagumahissao
- Colaborador Voluntário

-
- Mensagens: 386
- Registrado em: Qua Abr 04, 2012 14:07
- Localização: Brazil
- Formação Escolar: GRADUAÇÃO
- Área/Curso: Lic. Matemática
- Andamento: cursando
-
por matheus soder » Dom Nov 30, 2014 20:32
Muito obrigado, me ajudou bastante.
Sou grato
-
matheus soder
- Novo Usuário

-
- Mensagens: 6
- Registrado em: Dom Nov 30, 2014 17:12
- Formação Escolar: ENSINO MÉDIO
- Andamento: cursando
Voltar para Funções
Se chegou até aqui, provavelmente tenha interesse pelos tópicos relacionados abaixo.
Aproveite a leitura. Bons estudos!
-
- Ajuda em uma questao de funçao
por pablolopes » Ter Abr 09, 2013 20:17
- 3 Respostas
- 1798 Exibições
- Última mensagem por young_jedi

Qua Abr 10, 2013 20:27
Funções
-
- Ajuda aqui com essa questão de função
por Ronaldobb » Qui Set 20, 2012 19:41
- 7 Respostas
- 3375 Exibições
- Última mensagem por Ronaldobb

Qui Set 20, 2012 22:34
Funções
-
- [Questão POSCOMP 2011] Ajuda para interpretar questão
por hlustosa » Dom Jul 29, 2012 14:54
- 3 Respostas
- 12994 Exibições
- Última mensagem por hlustosa

Seg Jul 30, 2012 01:13
Funções
-
- +uma função das trevas.ajuda aew!(função par mas heim!?)
por Fabricio dalla » Dom Fev 27, 2011 16:12
- 2 Respostas
- 3490 Exibições
- Última mensagem por LuizAquino

Dom Mar 06, 2011 09:17
Funções
-
- AJUDA NA QUESTÃO
por GABRIELA » Ter Set 08, 2009 16:00
- 1 Respostas
- 1455 Exibições
- Última mensagem por Molina

Ter Set 08, 2009 18:58
Matrizes e Determinantes
Usuários navegando neste fórum: Nenhum usuário registrado e 0 visitantes
Assunto:
simplifiquei e achei...está certo?????????????
Autor:
zig - Sex Set 23, 2011 13:57
![{(0,05)}^{-\frac{1}{2}}=\frac{10}{\sqrt[5]} {(0,05)}^{-\frac{1}{2}}=\frac{10}{\sqrt[5]}](/latexrender/pictures/19807748a214d3361336324f3e43ea9a.png)
![{(0,05)}^{-\frac{1}{2}}=\frac{10}{\sqrt[2]{5}} {(0,05)}^{-\frac{1}{2}}=\frac{10}{\sqrt[2]{5}}](/latexrender/pictures/3d7908e5b4e397bf635b6546063d9130.png)
Assunto:
simplifiquei e achei...está certo?????????????
Autor:
Vennom - Sex Set 23, 2011 21:41
zig escreveu:![{(0,05)}^{-\frac{1}{2}}=\frac{10}{\sqrt[5]} {(0,05)}^{-\frac{1}{2}}=\frac{10}{\sqrt[5]}](/latexrender/pictures/19807748a214d3361336324f3e43ea9a.png)
![{(0,05)}^{-\frac{1}{2}}=\frac{10}{\sqrt[2]{5}} {(0,05)}^{-\frac{1}{2}}=\frac{10}{\sqrt[2]{5}}](/latexrender/pictures/3d7908e5b4e397bf635b6546063d9130.png)
Rpz, o negócio é o seguinte:
Quando você tem uma potência negativa, tu deve inverter a base dela. Por exemplo:
Então pense o seguinte: a fração geratriz de 0,05 é

, ou seja, 1 dividido por 20 é igual a 0.05 . Sendo assim, a função final é igual a vinte elevado à meio.
Veja:
A raiz quadrada de vinte, você acha fácil, né?
Espero ter ajudado.
Assunto:
simplifiquei e achei...está certo?????????????
Autor:
fraol - Dom Dez 11, 2011 20:23
Nós podemos simplificar, um pouco,

da seguinte forma:

.
É isso.
Assunto:
simplifiquei e achei...está certo?????????????
Autor:
fraol - Dom Dez 11, 2011 20:24
Nós podemos simplificar, um pouco,

da seguinte forma:

.
É isso.
Powered by phpBB © phpBB Group.
phpBB Mobile / SEO by Artodia.