por aleson94 » Sex Mai 16, 2014 21:57
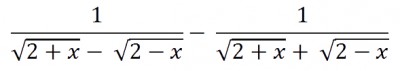
Como racionalizar essa equação do arquivo anexado?
- Anexos
-

- Equação
-
aleson94
- Novo Usuário

-
- Mensagens: 1
- Registrado em: Sex Mai 16, 2014 21:37
- Formação Escolar: ENSINO MÉDIO
- Andamento: formado
por Russman » Sex Mai 16, 2014 22:54
Note que dados dois Reais quaisquer

e

é verdade que

.
O produto da soma com a diferença é a diferença dos quadrados.
Podemos tomar proveito deste fato nas sua frações. Façamos

e

.
Assim, sua operação se transforma em

de onde

Tente prosseguir.
"Ad astra per aspera."
-
Russman
- Colaborador Voluntário

-
- Mensagens: 1183
- Registrado em: Sex Abr 20, 2012 22:06
- Formação Escolar: PÓS-GRADUAÇÃO
- Área/Curso: Física
- Andamento: formado
Voltar para Álgebra Elementar
Se chegou até aqui, provavelmente tenha interesse pelos tópicos relacionados abaixo.
Aproveite a leitura. Bons estudos!
-
- Racionalização
por nathyn » Sex Fev 10, 2012 15:21
- 2 Respostas
- 1594 Exibições
- Última mensagem por nathyn

Seg Fev 13, 2012 12:28
Álgebra Elementar
-
- Racionalização
por Rafael16 » Dom Jan 13, 2013 14:25
- 3 Respostas
- 1847 Exibições
- Última mensagem por Rafael16

Dom Jan 13, 2013 18:41
Aritmética
-
- Racionalizaçao
por Gustavo00 » Ter Mai 27, 2014 14:09
- 0 Respostas
- 1174 Exibições
- Última mensagem por Gustavo00

Ter Mai 27, 2014 14:09
Aritmética
-
- Racionalização
por Cristina Lins » Qua Abr 05, 2017 16:52
- 0 Respostas
- 1274 Exibições
- Última mensagem por Cristina Lins

Qua Abr 05, 2017 16:52
Aritmética
-
- Racionalização
por luceliasa » Sáb Jul 29, 2017 18:36
- 1 Respostas
- 2102 Exibições
- Última mensagem por DanielFerreira

Sáb Ago 12, 2017 19:07
Aritmética
Usuários navegando neste fórum: Nenhum usuário registrado e 60 visitantes
Assunto:
função demanda
Autor:
ssousa3 - Dom Abr 03, 2011 20:55
alguém poderia me ajudar nesse exercício aqui Uma loja de CDs adquire cada unidade por R$20,00 e a revende por R$30,00. Nestas condições,
a quantidade mensal que consegue vender é 500 unidades. O proprietário estima que, reduzindo o preço para R$28,00, conseguirá vender 600 unidades por mês.
a) Obtenha a função demanda, supondo ser linear
Eu faço ensino médio mas compro apostilas de concursos para me preparar para mercado de trabalho e estudar sozinho não é fácil. Se alguém puder me ajudar aqui fico grato
Assunto:
função demanda
Autor:
ssousa3 - Seg Abr 04, 2011 14:30
Gente alguém por favor me ensine a calcular a fórmula da função demanda

Powered by phpBB © phpBB Group.
phpBB Mobile / SEO by Artodia.