por liviatoniolo222 » Seg Mai 21, 2018 22:54
Não estou conseguindo sair dessa questão.
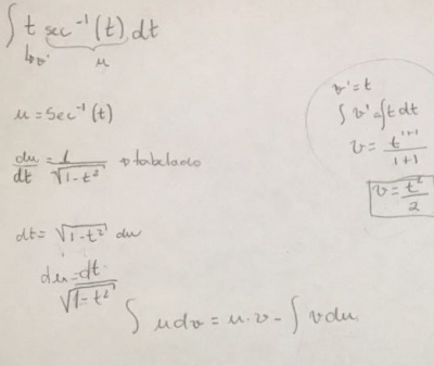
? t. sec-¹(t)dt
O exercício pede para que seja feito por integração por partes
Fiz a integração usando ?udv= u.v -?vdu
e cheguei a isso

depois disso eu não soube mais o que fazer, meu professor disse que eu teria que achar a identidade trigonométrica e fazer com que t seja igual a sen (u) mas eu não entendi como e nem porquê eu devo fazer isso
- Anexos
-

-
liviatoniolo222
- Novo Usuário

-
- Mensagens: 8
- Registrado em: Dom Mai 06, 2018 22:54
- Formação Escolar: ENSINO MÉDIO PROFISSIONALIZANTE
- Área/Curso: eletromecanica
- Andamento: cursando
por Gebe » Ter Mai 22, 2018 10:26
Nao lembrava mais como fazia este tipo de questão. Dei uma olhada nos meus materiais antigos na parte de substituição trigonometrica (coloco uma parte em anexo) e acho que tua questão cai no caso do primeiro exemplo do anexo, ficando assim:

Acho que é isso, mas da uma boa conferida, qualquer duvida manda msg. Espero ter ajudado, bons estudos
-
Gebe
- Colaborador Voluntário

-
- Mensagens: 158
- Registrado em: Qua Jun 03, 2015 22:47
- Formação Escolar: GRADUAÇÃO
- Área/Curso: engenharia eletrica
- Andamento: cursando
por liviatoniolo222 » Ter Mai 22, 2018 16:01
Fiz a mesma pergunta em um outro fórum e me disseram que eu confundi sec-¹ com sen-¹ pois a fórmula de sen-¹ é
e realmente de acordo com a tabela

seria a fórmula correta para sec-¹
Fiquei confusa
-
liviatoniolo222
- Novo Usuário

-
- Mensagens: 8
- Registrado em: Dom Mai 06, 2018 22:54
- Formação Escolar: ENSINO MÉDIO PROFISSIONALIZANTE
- Área/Curso: eletromecanica
- Andamento: cursando
por liviatoniolo222 » Ter Mai 22, 2018 20:48
Conversando com um outro professor, ele sugeriu que usasse esse método.
Estaria correto?
- Anexos
-

-
liviatoniolo222
- Novo Usuário

-
- Mensagens: 8
- Registrado em: Dom Mai 06, 2018 22:54
- Formação Escolar: ENSINO MÉDIO PROFISSIONALIZANTE
- Área/Curso: eletromecanica
- Andamento: cursando
Voltar para Cálculo: Limites, Derivadas e Integrais
Se chegou até aqui, provavelmente tenha interesse pelos tópicos relacionados abaixo.
Aproveite a leitura. Bons estudos!
-
- [INTEGRAL] Integral por partes! Alguem pode me ajudar?
por mih123 » Qua Jan 16, 2013 20:18
- 3 Respostas
- 4629 Exibições
- Última mensagem por adauto martins

Qua Out 22, 2014 09:11
Cálculo: Limites, Derivadas e Integrais
-
- integral por partes
por rita becher » Qua Jun 01, 2011 22:05
- 2 Respostas
- 2351 Exibições
- Última mensagem por rita becher

Qui Jun 02, 2011 10:30
Cálculo: Limites, Derivadas e Integrais
-
- integral por partes
por rita becher » Qui Jun 02, 2011 00:20
- 4 Respostas
- 4070 Exibições
- Última mensagem por rita becher

Sáb Jun 04, 2011 13:01
Cálculo: Limites, Derivadas e Integrais
-
- Integral por Partes
por Guilherme Carvalho » Ter Mar 06, 2012 23:08
- 2 Respostas
- 2139 Exibições
- Última mensagem por Guilherme Carvalho

Qua Mar 07, 2012 10:39
Cálculo: Limites, Derivadas e Integrais
-
- integral por partes
por gasparina nunes » Sáb Abr 07, 2012 23:42
- 3 Respostas
- 2600 Exibições
- Última mensagem por fraol

Dom Abr 08, 2012 22:43
Cálculo: Limites, Derivadas e Integrais
Usuários navegando neste fórum: Nenhum usuário registrado e 63 visitantes
Assunto:
(FGV) ... função novamente rs
Autor:
my2009 - Qua Dez 08, 2010 21:48
Uma função polinomial f do 1° grau é tal que f(3) = 6 e f(4) = 8.Portanto o valor de f(10) é :
Assunto:
(FGV) ... função novamente rs
Autor: Anonymous - Qui Dez 09, 2010 17:25
Uma função de 1º grau é dada por

.
Temos que para

,

e para

,

.

Ache o valor de

e

, monte a função e substitua

por

.
Assunto:
(FGV) ... função novamente rs
Autor:
Pinho - Qui Dez 16, 2010 13:57
my2009 escreveu:Uma função polinomial f do 1° grau é tal que f(3) = 6 e f(4) = 8.Portanto o valor de f(10) é :
f(x)= 2.x
f(3)=2.3=6
f(4)=2.4=8
f(10)=2.10=20
Assunto:
(FGV) ... função novamente rs
Autor:
dagoth - Sex Dez 17, 2010 11:55
isso ai foi uma questao da FGV?
haahua to precisando trocar de faculdade.
Assunto:
(FGV) ... função novamente rs
Autor:
Thiago 86 - Qua Mar 06, 2013 23:11
Saudações!
ví suaquestão e tentei resolver, depois você conta-me se eu acertei.
Uma função de 1º grau é dada por y=3a+b
Resposta :
3a+b=6 x(4)
4a+b=8 x(-3)
12a+4b=24
-12a-3b=-24
b=0
substituindo b na 1°, ttenho que: 3a+b=6
3a+0=6
a=2
substituindo em: y=3a+b
y=30+0
y=30

Powered by phpBB © phpBB Group.
phpBB Mobile / SEO by Artodia.