• Anúncio Global
    Respostas
    Exibições
    Última mensagem

Equações Exponenciais

Equações Exponenciais

Mensagempor AlexKidd » Dom Ago 12, 2012 12:40

Resolva os sistemas:
a)
5^x+y=1
3^x.9^x=1/9

b)
2^2(x²-y)=100.5^2(y-x²)
x+y=5
AlexKidd
Novo Usuário
Novo Usuário
 
Mensagens: 3
Registrado em: Dom Ago 12, 2012 12:32
Formação Escolar: ENSINO MÉDIO PROFISSIONALIZANTE
Andamento: cursando

Re: Equações Exponenciais

Mensagempor DanielFerreira » Dom Ago 12, 2012 12:53

Alex,
seja bem-vindo!
De acordo com as regras do fórum, deve expor as suas tentativas.
Sugiro que dê uma lida nas regras do fórum.

Quanto a questão, não ficou clara, mas tentarei ajudar...
\begin{cases}5^x + y = 1 \\ 3^x \cdot 9^x = \frac{1}{9}\end{cases}

II:
\\3^x \cdot 9^x = \frac{1}{9} \\\\ 3^x \cdot (3^2)^x = 9^{- 1} \\\\ 3^x \cdot 3^{2x} = 3^{- 2} \\\\ 3^{3x} = 3^{- 2} \\\\ \boxed{x = - \frac{2}{3}}

Como disse anteriormente, o sistema não ficou muito claro (primeira equação), então agora basta vc substituir o valor de x na outra equação e encontrar y.

Espero ter ajudado!!

Daniel F.
"Sabedoria é saber o que fazer;
habilidade é saber como fazer;
virtude é fazer."
(David S. Jordan)
--------------------------------------------------------------------------------
DanielFerreira
Colaborador - em formação
Colaborador - em formação
 
Mensagens: 1732
Registrado em: Qui Jul 23, 2009 21:34
Localização: Mangaratiba - RJ
Formação Escolar: GRADUAÇÃO
Área/Curso: Licenciatura em Matemática - IFRJ
Andamento: formado

Re: Equações Exponenciais

Mensagempor AlexKidd » Dom Ago 12, 2012 13:07

A sim coompreendo,desculpe pelo meu erro,fiz tantas tentativas...Mas enfim.
Não sei o que ocorreu,não percebi que formula nao foi gerada!
Para o exercicio 'a' ficar mais claro:
5^x.5^y = 1

3^x.9^y=1/9

Minha 1° tentativa:
3^x . 3^2^y  + 5^x . 5^y = 2

15^x . 45^y = 2

Porém percebi que não eliminei o x ou y,tentei deixar o y=1 pra ver se conseguiria algum resultado...

3^x . 3^1 . 3^2 = 1

3^x . 3 . 9 = 1

3^x . 27 = 1

3^x = 1/27

5^x . 5^1 = 1

5^x . 5 = 1

5^x = 1/5,se continuar nessa segunda tentativa terei algum problema?

Acho que você acabou me ajudando de uma maneira indireta também,me lembrei que poderia resolver tudo separado;coisa que não tinha lembrado antes

-
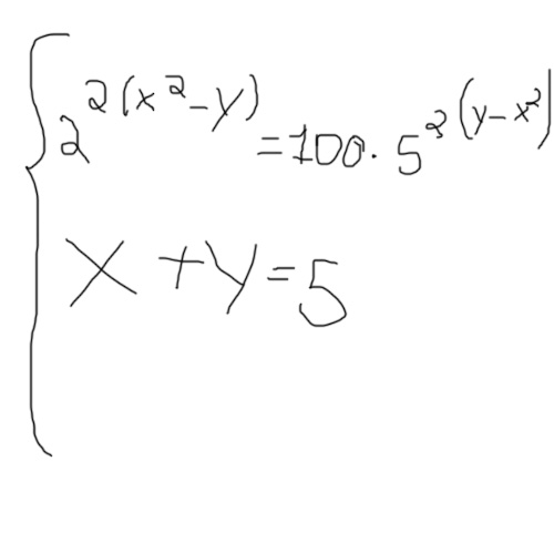
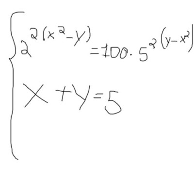
Exercicio b=
Esse preferi enviar em imagem:

Tentei fazer da mesma forma da 1° tentativa da questão 'a',depois também tentei de jeito prox a segunda tentativa porém sem sucesso,em breve posto aqui uma foto de uma folha,porém agora tenho que sair.
Anexos
Sem Título-1.jpg
AlexKidd
Novo Usuário
Novo Usuário
 
Mensagens: 3
Registrado em: Dom Ago 12, 2012 12:32
Formação Escolar: ENSINO MÉDIO PROFISSIONALIZANTE
Andamento: cursando

Re: Equações Exponenciais

Mensagempor DanielFerreira » Dom Ago 12, 2012 15:07

Alex,
confesso que não entendi sua tentativa. Vou te apresentar a forma que acho mais simples de resolver, veja:
\\\begin{cases} 5^x \cdot 5^y = 1 \\ 3^x \cdot 9^y = \frac{1}{9} \end{cases} \\\\\\ \begin{cases} 5^x \cdot 5^y = 5^0 \\ 3^x \cdot 3^{2y} = 3^{- 2} \end{cases} \\\\\\\begin{cases} 5^{(x + y)} = 5^0 \\ 3^{(x + 2y)} = 3^{- 2} \end{cases} \\\\\\ \begin{cases} x + y = 0 \\ x + 2y = - 2 \end{cases} \\\\\\ \begin{cases} x + y = 0 \,\, \times (- 2) \\ x + 2y = - 2 \end{cases} \\\\\\  \begin{cases} - 2x - 2y = 0 \\ x + 2y = - 2 \end{cases} \\ -------- \\ - 2x + x = 0 - 2 \\ - x = - 2 \\ \boxed{\boxed{x = 2}}

Como x + y = 0, temos:
2 + y = 0 \\ \boxed{\boxed{y = - 2}}
"Sabedoria é saber o que fazer;
habilidade é saber como fazer;
virtude é fazer."
(David S. Jordan)
--------------------------------------------------------------------------------
DanielFerreira
Colaborador - em formação
Colaborador - em formação
 
Mensagens: 1732
Registrado em: Qui Jul 23, 2009 21:34
Localização: Mangaratiba - RJ
Formação Escolar: GRADUAÇÃO
Área/Curso: Licenciatura em Matemática - IFRJ
Andamento: formado

Re: Equações Exponenciais

Mensagempor AlexKidd » Dom Ago 12, 2012 20:28

E compreendo,minha matematica não e das melhores,até por que na hora em que fiz isso e digitei estava meio sem tempo e meio cansado já.
Mas de qualquer forma obrigado.

A segunda estou tentando fazer ainda,meu orgulho me dominou nela!
AlexKidd
Novo Usuário
Novo Usuário
 
Mensagens: 3
Registrado em: Dom Ago 12, 2012 12:32
Formação Escolar: ENSINO MÉDIO PROFISSIONALIZANTE
Andamento: cursando

Re: Equações Exponenciais

Mensagempor DanielFerreira » Seg Ago 27, 2012 20:42

Olá AlexKidd,
boa noite!
Desculpe a demora. :-D

Achei a questão bem interessante. É um 'jogo' de propriedades!
Segue a solução:

\\ \boxed{2^{2(x^2 - y)} = 100 \cdot 5^{2(y - x^2)}} \\\\ 2^{2(x^2 - y)} = 2^2 \cdot 5^2 \cdot 5^{2(y - x^2)} \\\\ 2^{2x^2} \cdot 2^{- 2y} = 2^2 \cdot 5^2 \cdot 5^{2y} \cdot 5^{- 2x^2} \\\\ 2^{2x^2} \cdot \frac{1}{2^{2y}} = 2^2 \cdot 5^2 \cdot 5^{2y} \cdot \frac{1}{5^{2x^2}} \\\\ 2^{2x^2} \cdot 5^{2x^2} = (2^2 \cdot 5^2) \cdot (2^{2y} \cdot 5^{2y}) \\\\ (2 \cdot 5)^{2x^2} = (2 \cdot 5)^2 \cdot (2 \cdot 5)^{2y} \\\\ 10^{2x^2} = 10^2 \cdot 10^{2y} \\\\ 10^{2x^2} = 10^{2 + 2y} \\\\ \boxed{\boxed{2x^2 = 2 + 2y}}

Agora basta resolver o sistema:
\begin{cases} 2x^2 = 2 + 2y \\ x + y = 5 \end{cases}

Estarei aguardando os valores encontrados, e, possíveis dúvidas.

Até breve.

Daniel F.
"Sabedoria é saber o que fazer;
habilidade é saber como fazer;
virtude é fazer."
(David S. Jordan)
--------------------------------------------------------------------------------
DanielFerreira
Colaborador - em formação
Colaborador - em formação
 
Mensagens: 1732
Registrado em: Qui Jul 23, 2009 21:34
Localização: Mangaratiba - RJ
Formação Escolar: GRADUAÇÃO
Área/Curso: Licenciatura em Matemática - IFRJ
Andamento: formado


Voltar para Equações

 



  • Tópicos relacionados
    Respostas
    Exibições
    Última mensagem

Quem está online

Usuários navegando neste fórum: Nenhum usuário registrado e 2 visitantes

 



Assunto: cálculo de limites
Autor: Hansegon - Seg Ago 25, 2008 11:29

Bom dia.

Preciso de ajuda na solução deste problema, pois só chego ao resultado de 0 sobre 0.
Obrigado

\lim_{x\rightarrow-1} x³ +1/x²-1[/tex]


Assunto: cálculo de limites
Autor: Molina - Seg Ago 25, 2008 13:25

\lim_{x\rightarrow-1} \frac{{x}^{3}+1}{{x}^{2}-1}

Realmente se você jogar o -1 na equação dá 0 sobre 0.
Indeterminações deste tipo você pode resolver por L'Hôpital
que utiliza derivada.
Outro modo é transformar o numerador e/ou denominador
para que não continue dando indeterminado.

Dica: dividir o numerador e o denominador por algum valor é uma forma que normalmente dá certo. :y:

Caso ainda não tenha dado uma :idea:, avisa que eu resolvo.

Bom estudo!


Assunto: cálculo de limites
Autor: Guill - Dom Abr 08, 2012 16:03

\lim_{x\rightarrow-1}\frac{x^3+1}{x^2-1}

\lim_{x\rightarrow-1}\frac{(x+1)(x^2-x+1)}{(x+1)(x-1)}

\lim_{x\rightarrow-1}\frac{(x^2-x+1)}{(x-1)}=\frac{-3}{2}