por Jacques » Ter Jul 12, 2016 21:42
Olá, estou com dúvida na seguinte questão.
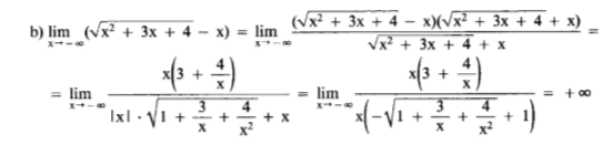
1 )

(Essa é a letra B da questão 82 do Livro do Iezzi Vol.8)
Quando tendo resolver a questão resulta nisto

Veja que o denominar iria resultar em zero, e além disto, no solucionário do livro diz que a resposta é


<-- Forma como está no solucionário
Agradeço a atenção;
- Anexos
-

- Em anexo a quem não conseguir ver
-
Jacques
- Novo Usuário

-
- Mensagens: 4
- Registrado em: Ter Jul 12, 2016 21:18
- Formação Escolar: ENSINO MÉDIO
- Área/Curso: Engenharia Civil
- Andamento: cursando
por vitor_jo » Qua Jul 13, 2016 06:30
Vê só, estou meio enrolado aqui, mas acho que isso pode ajudar.
Partindo dessa última expressão, antes do infinito
Cortando x em cima e embaixo tem-se
lim x> - infinito (3+4/x) / (-(1+3/x+4/x²)^(1/2)+1)
Ok, nada novo.
Tomando 3 +4/x= u, limx-> - infinito, u--> 3 (pela esquerda)
Se 3+4/x=4, 3/x +4x² =u/x
Agora volta isso lá em cima,
lim u-> 3 (pela esquerda) u/[(-(1+u/x)^(1/2) +1)] *
Como 3 +4/x= u, então x= 4/(u-3), voltando na equação acima
lim u->3 (esqu) u/-[1+(u/4/u-3)^(1/2)+1] = u/[-(1+(u²-3u)/4)^(1/2) +1]
Jogando o limite, 3(esq)/[-(1+0/4)^(1/2)+1]
Admiti x->3(esq) para ser rigoroso. A ideia é que ficaria
3(esq)/[-(1-0.0000..1)^(1/2) +1] ->>> 3(esq)/um número positivo mas que tende a zero pela direta.
Assim dá + infinito.
-
vitor_jo
- Usuário Ativo

-
- Mensagens: 22
- Registrado em: Qua Jan 14, 2015 05:36
- Formação Escolar: PÓS-GRADUAÇÃO
- Área/Curso: Economia
- Andamento: cursando
por vitor_jo » Qua Jul 13, 2016 06:31
(perdão pela escrita em extenso, ainda não dominei o latex)
-
vitor_jo
- Usuário Ativo

-
- Mensagens: 22
- Registrado em: Qua Jan 14, 2015 05:36
- Formação Escolar: PÓS-GRADUAÇÃO
- Área/Curso: Economia
- Andamento: cursando
por Jacques » Qua Jul 13, 2016 13:50
Agradeço pela resposta, eu consegui entender a escrita sem problemas. Quando questionei ao meu professor ele também citou que esse denominador não daria 0 e sim um numero bem pequeno, mas ele não fez todo esse processo.
Grato por sua atenção
-
Jacques
- Novo Usuário

-
- Mensagens: 4
- Registrado em: Ter Jul 12, 2016 21:18
- Formação Escolar: ENSINO MÉDIO
- Área/Curso: Engenharia Civil
- Andamento: cursando
por vitor_jo » Qua Jul 13, 2016 16:51
Sim, eu pensei em não desenvolver tudo isso, mas não estava convencido que dava p/ mais infinito a coisa, daí fui manipular. :P
Abraço.
-
vitor_jo
- Usuário Ativo

-
- Mensagens: 22
- Registrado em: Qua Jan 14, 2015 05:36
- Formação Escolar: PÓS-GRADUAÇÃO
- Área/Curso: Economia
- Andamento: cursando
Voltar para Cálculo: Limites, Derivadas e Integrais
Se chegou até aqui, provavelmente tenha interesse pelos tópicos relacionados abaixo.
Aproveite a leitura. Bons estudos!
-
- Dúvida superficial - limites no infinito
por phfrito » Qui Mai 08, 2014 19:26
- 4 Respostas
- 2927 Exibições
- Última mensagem por Russman

Sex Mai 09, 2014 14:54
Cálculo: Limites, Derivadas e Integrais
-
- [Limites] Ajuda com limites no infinito e continuidade
por umbrorz » Dom Abr 15, 2012 00:54
- 3 Respostas
- 4843 Exibições
- Última mensagem por umbrorz

Seg Abr 16, 2012 11:46
Cálculo: Limites, Derivadas e Integrais
-
- [limites no infinito]Limite no infinito de um ponto finito
por moyses » Ter Ago 30, 2011 12:45
- 3 Respostas
- 3559 Exibições
- Última mensagem por LuizAquino

Ter Ago 30, 2011 18:57
Cálculo: Limites, Derivadas e Integrais
-
- [Limites] Limites no "infinito " prova a existência ......
por e8group » Dom Jun 17, 2012 14:37
- 2 Respostas
- 2778 Exibições
- Última mensagem por e8group

Ter Jun 19, 2012 11:20
Cálculo: Limites, Derivadas e Integrais
-
- [Limites] limites no infinito
por lucasdemirand » Qui Jul 11, 2013 15:10
- 1 Respostas
- 1487 Exibições
- Última mensagem por e8group

Qui Jul 11, 2013 15:38
Cálculo: Limites, Derivadas e Integrais
Usuários navegando neste fórum: Nenhum usuário registrado e 5 visitantes
Assunto:
Unesp - 95 Números Complexos
Autor:
Alucard014 - Dom Ago 01, 2010 18:22
(UNESP - 95) Seja L o Afixo de um Número complexo

em um sistema de coordenadas cartesianas xOy. Determine o número complexo b , de módulo igual a 1 , cujo afixo M pertence ao quarto quadrante e é tal que o ângulo LÔM é reto.
Assunto:
Unesp - 95 Números Complexos
Autor:
MarceloFantini - Qui Ago 05, 2010 17:27
Seja

o ângulo entre o eixo horizontal e o afixo

. O triângulo é retângulo com catetos

e

, tal que

. Seja

o ângulo complementar. Então

. Como

, o ângulo que o afixo

formará com a horizontal será

, mas negativo pois tem de ser no quarto quadrante. Se

, então

. Como módulo é um:

.
Logo, o afixo é

.
Powered by phpBB © phpBB Group.
phpBB Mobile / SEO by Artodia.