por Marcia C Silva » Sáb Mai 28, 2016 22:30
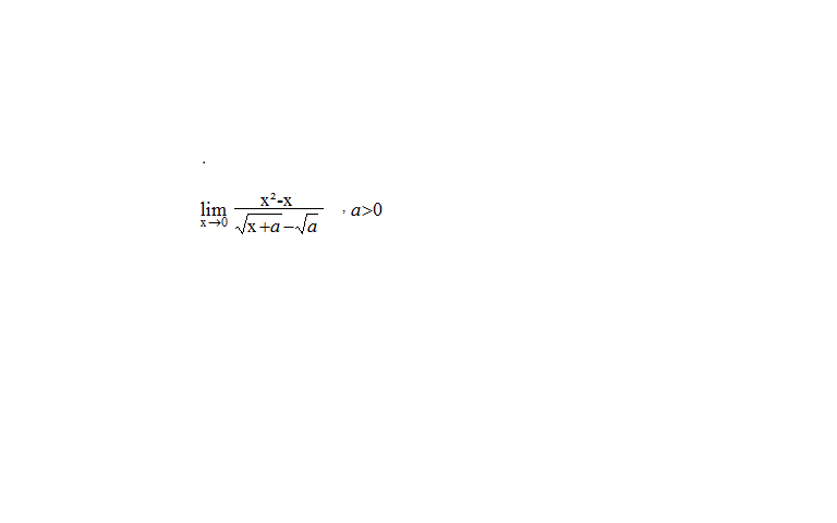
Calcular o limite
- Anexos
-

- limite 3.png (3.18 KiB) Exibido 3084 vezes
-
Marcia C Silva
- Novo Usuário

-
- Mensagens: 3
- Registrado em: Sáb Mai 28, 2016 22:22
- Formação Escolar: PÓS-GRADUAÇÃO
- Área/Curso: Matemática
- Andamento: formado
por nakagumahissao » Dom Mai 29, 2016 22:08
Eu faço a diferença. E você?
Do Poema: Quanto os professores "fazem"?
De Taylor Mali
-
nakagumahissao
- Colaborador Voluntário

-
- Mensagens: 386
- Registrado em: Qua Abr 04, 2012 14:07
- Localização: Brazil
- Formação Escolar: GRADUAÇÃO
- Área/Curso: Lic. Matemática
- Andamento: cursando
-
Voltar para Cálculo: Limites, Derivadas e Integrais
Se chegou até aqui, provavelmente tenha interesse pelos tópicos relacionados abaixo.
Aproveite a leitura. Bons estudos!
-
- limite alguém pode me ajudar a resolver
por Marcia C Silva » Sáb Mai 28, 2016 22:34
- 1 Respostas
- 3144 Exibições
- Última mensagem por nakagumahissao

Dom Mai 29, 2016 22:09
Cálculo: Limites, Derivadas e Integrais
-
- Alguém pode me ajudar a resolver essa integral?
por V_Netto » Seg Jul 30, 2012 12:05
- 1 Respostas
- 1797 Exibições
- Última mensagem por Russman

Seg Jul 30, 2012 12:54
Cálculo: Limites, Derivadas e Integrais
-
- alguem pode me ajudar a resolver essa questao?
por flavio970 » Qua Set 30, 2015 12:35
- 1 Respostas
- 1505 Exibições
- Última mensagem por nakagumahissao

Dom Out 04, 2015 12:53
Cálculo: Limites, Derivadas e Integrais
-
- Alguem pode ajudar-me?
por carlos r m oliveira » Seg Out 05, 2009 11:35
- 1 Respostas
- 2437 Exibições
- Última mensagem por Neperiano

Dom Jul 03, 2011 21:05
Estatística
-
- Alguém pode me ajudar?
por apoliveirarj » Seg Jul 19, 2010 18:20
- 1 Respostas
- 3295 Exibições
- Última mensagem por Douglasm

Seg Jul 19, 2010 18:49
Matemática Financeira
Usuários navegando neste fórum: Nenhum usuário registrado e 13 visitantes
Assunto:
cálculo de limites
Autor:
Hansegon - Seg Ago 25, 2008 11:29
Bom dia.
Preciso de ajuda na solução deste problema, pois só chego ao resultado de 0 sobre 0.
Obrigado
\lim_{x\rightarrow-1} x³ +1/x²-1[/tex]
Assunto:
cálculo de limites
Autor:
Molina - Seg Ago 25, 2008 13:25
Realmente se você jogar o -1 na equação dá 0 sobre 0.
Indeterminações deste tipo você pode resolver por L'Hôpital
que utiliza derivada.
Outro modo é transformar o numerador e/ou denominador
para que não continue dando indeterminado.
Dica: dividir o numerador e o denominador por algum valor é uma forma que normalmente dá certo.
Caso ainda não tenha dado uma

, avisa que eu resolvo.
Bom estudo!
Assunto:
cálculo de limites
Autor:
Guill - Dom Abr 08, 2012 16:03

Powered by phpBB © phpBB Group.
phpBB Mobile / SEO by Artodia.