por RuuKaasu » Qui Jan 14, 2016 18:29
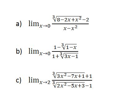
a)(raiz³(8-2x+x²)-2)/(x-x²)
Primeiramente repare que raiz³(8-2x+x²)-2 é uma diferença de raízes cúbicas e pelo produto notável da diferença de cubos temos x³-y³=(x-y)(x²+xy+y²), agora substituiremos raiz³(8-2x+x²) por x e 2 por y
( 8-2x+x²) - 8 = ( raiz³( 8 - 2x + x² ) - 2 )*( raiz³( 8 - 2x + x² )² + raiz³( 8 - 2x + x² ) * 2 + 2² ), agora isolamos o termo (raiz³(8-2x+x²)-2)
( 2x+x² ) / ( raiz³( 8 - 2x + x² )² + raiz³(8-2x+x²) * 2 + 2² ) = ( raiz³( 8 - 2x + x² ) - 2 ), agora substituir o valor em (raiz³(8-2x+x²)-2)/(x-x²)
( 2x+x² ) /(x-x²) * ( raiz³( 8 - 2x + x² )² + raiz³( 8 - 2x + x² ) * 2 + 4 ), e agora é só "cortar" o x
( 2 + x ) /(1 - x) * ( raiz³( 8 - 2x + x² )² + raiz³( 8 - 2x + x² ) * 2 + 4 ), e agora resolver para x=0
2/12=1/6
As outras se resolvem da mesma forma soma de cubos x³+y³=(x+y)(x²-xy+x²) diferença x³-y³=(x-y)(x²+xy+y²), e você ira cortar sempre algo do tipo x-a, para x->a, quanto simplificar a indeterminação, se não conseguir fazer as outras é só falar.
-
RuuKaasu
- Novo Usuário

-
- Mensagens: 8
- Registrado em: Sáb Dez 26, 2015 23:23
- Formação Escolar: GRADUAÇÃO
- Área/Curso: Ciencias da Computação
- Andamento: cursando
Voltar para Cálculo: Limites, Derivadas e Integrais
Se chegou até aqui, provavelmente tenha interesse pelos tópicos relacionados abaixo.
Aproveite a leitura. Bons estudos!
-
- como poderia resolver por limites?
por ronaldy » Seg Set 08, 2008 16:22
- 3 Respostas
- 5902 Exibições
- Última mensagem por admin

Ter Set 09, 2008 21:57
Cálculo: Limites, Derivadas e Integrais
-
- [Limites] como resolver utilizando L' Hôpital
por AboraBR » Qui Jul 12, 2012 15:33
- 2 Respostas
- 1920 Exibições
- Última mensagem por e8group

Qui Jul 12, 2012 17:16
Cálculo: Limites, Derivadas e Integrais
-
- [Limite] como resolver esses limites
por Isadora Souza » Seg Jan 07, 2013 15:20
- 1 Respostas
- 1838 Exibições
- Última mensagem por joaofonseca

Seg Jan 07, 2013 19:00
Cálculo: Limites, Derivadas e Integrais
-
- [Cálculo: Limites, Derivadas e Integrais] Como resolver?
por IlgssonBraga » Seg Jan 20, 2014 16:40
- 1 Respostas
- 1886 Exibições
- Última mensagem por IlgssonBraga

Seg Jan 20, 2014 17:02
Cálculo: Limites, Derivadas e Integrais
-
- Resolver limite de exponencial por L'Hospital.
por Sobreira » Sáb Nov 30, 2013 15:00
- 9 Respostas
- 6258 Exibições
- Última mensagem por e8group

Sáb Nov 30, 2013 17:37
Cálculo: Limites, Derivadas e Integrais
Usuários navegando neste fórum: Nenhum usuário registrado e 1 visitante
Assunto:
método de contagem
Autor:
sinuca147 - Seg Mai 25, 2009 09:10
Veja este exercício:
Se A = {

} e B = {

}, então o número de elementos A

B é:
Eu tentei resolver este exercício e achei a resposta "três", mas surgiram muitas dúvidas aqui durante a resolução.
Para determinar os elementos do conjunto A, eu tive de basicamente fazer um lista de vinte dividido por todos os números naturais maiores que zero e menores que vinte e um, finalmente identificando como elementos do conjunto A os números 1, 2, 4, 5, 10 e 20. Acho que procedi de maneira correta, mas fiquei pensando aqui se não existiria um método mais "sofisticado" e prático para que eu pudesse identificar ou ao menos contar o número de elementos do conjunto A, existe?
No processo de determinação dos elementos do conjunto B o que achei foi basicamente os múltiplos de cinco e seus opostos, daí me surgiram estas dúvidas:
existe oposto de zero?
existe inverso de zero?
zero é par, certo?
sendo x um número natural, -x é múltiplo de x?
sendo z um número inteiro negativo, z é múltiplo de z?
sendo z um número inteiro negativo, -z é múltiplo de z?
A resposta é 3?
Obrigado.
Assunto:
método de contagem
Autor:
Molina - Seg Mai 25, 2009 20:42
Boa noite, sinuca.
Se A = {

} você concorda que n só pode ser de 1 a 20? Já que pertence aos naturais?
Ou seja, quais são os divisores de 20? Eles são seis: 1, 2, 4, 5, 10 e 20.
Logo, o conjunto A é
A = {1, 2, 4, 5, 10, 20}
Se B = {

} você concorda que x será os múltiplos de 5 (positivos e negativos)? Já que m pertence ao conjunto Z?
Logo, o conjunto B é
B = {... , -25, -20, -15, -10, -5, 0, 5, 10, 15, 20, 25, ...
Feito isso precisamos ver os números que está em ambos os conjuntos, que são:
5, 10 e 20 (3 valores, como você achou).
Vou responder rapidamente suas dúvidas porque meu tempo está estourando. Qualquer dúvida, coloque aqui, ok?
sinuca147 escreveu:No processo de determinação dos elementos do conjunto B o que achei foi basicamente os múltiplos de cinco e seus opostos, daí me surgiram estas dúvidas:
existe oposto de zero? sim, é o próprio zero
existe inverso de zero? não, pois não há nenhum número que multiplicado por zero resulte em 1
zero é par, certo? sim, pois pode ser escrito da forma de 2n, onde n pertence aos inteiros
sendo x um número natural, -x é múltiplo de x? Sim, pois basta pegar x e multiplicar por -1 que encontramos -x
sendo z um número inteiro negativo, z é múltiplo de z? Sim, tais perguntando se todo número é multiplo de si mesmo
sendo z um número inteiro negativo, -z é múltiplo de z? Sim, pois basta pegar -z e multiplicar por -1 que encontramos x
A resposta é 3? Sim, pelo menos foi o que vimos a cima
Bom estudo,

Assunto:
método de contagem
Autor:
sinuca147 - Seg Mai 25, 2009 23:35
Obrigado, mas olha só este link
http://www.colegioweb.com.br/matematica ... ro-natural
neste link encontra-se a a frase:
Múltiplo de um número natural é qualquer número que possa ser obtido multiplicando o número natural por 0, 1, 2, 3, 4, 5, etc.
Para determinarmos os múltiplos de 15, por exemplo, devemos multiplicá-lo pela sucessão dos números naturais:
Ou seja, de acordo com este link -5 não poderia ser múltiplo de 5, assim como 5 não poderia ser múltiplo de -5, eu sempre achei que não interessava o sinal na questão dos múltiplos, assim como você me confirmou, mas e essa informação contrária deste site, tem alguma credibilidade?
Há e claro, a coisa mais bacana você esqueceu, quero saber se existe algum método de contagem diferente do manual neste caso:
Para determinar os elementos do conjunto A, eu tive de basicamente fazer um lista de vinte dividido por todos os números naturais maiores que zero e menores que vinte e um, finalmente identificando como elementos do conjunto A os números 1, 2, 4, 5, 10 e 20. Acho que procedi de maneira correta, mas fiquei pensando aqui se não existiria um método mais "sofisticado" e prático para que eu pudesse identificar ou ao menos contar o número de elementos do conjunto A, existe?
Powered by phpBB © phpBB Group.
phpBB Mobile / SEO by Artodia.