por Sobreira » Sáb Mar 14, 2015 19:57
Olá amigos,
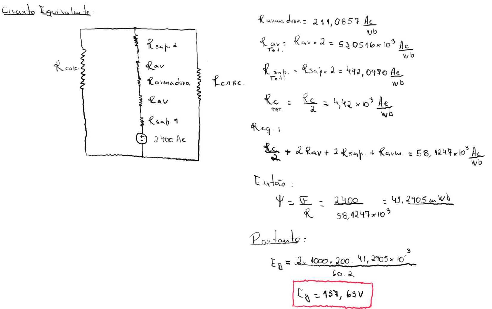
Gostaria de pedir a ajuda a todos engenheiros do fórum nesta questão.
Acho que, talvez, meu erro esteja na consideração das dimensões dos diferentes materiais magnéticos para o cálculo das relutâncias.
Eu considerei a área do entreferro como a mesma do que a da sapata polar, (não sei se devo considerar a área do ar como a mesma do que a da armadura).
Desde já obrigado.
"The good thing about science is that it's true whether or not you believe in it."
-
Sobreira
- Colaborador Voluntário

-
- Mensagens: 122
- Registrado em: Sex Out 12, 2012 17:33
- Formação Escolar: PÓS-GRADUAÇÃO
- Área/Curso: Engenharia Elétrica
- Andamento: formado
Voltar para Cálculo: Limites, Derivadas e Integrais
Se chegou até aqui, provavelmente tenha interesse pelos tópicos relacionados abaixo.
Aproveite a leitura. Bons estudos!
-
- Circuito Elétrico
por Rafael16 » Seg Mar 18, 2013 19:19
- 1 Respostas
- 11781 Exibições
- Última mensagem por young_jedi

Seg Mar 18, 2013 20:43
Eletricidade I
-
- Circuito Elétrico sem solução.
por Sobreira » Qui Set 19, 2013 02:20
- 3 Respostas
- 7963 Exibições
- Última mensagem por young_jedi

Sáb Set 21, 2013 11:27
Aritmética
-
- Circuito com ramo nulo.
por Sobreira » Dom Fev 23, 2014 18:48
- 3 Respostas
- 4398 Exibições
- Última mensagem por young_jedi

Dom Fev 23, 2014 22:34
Equações
-
- Calculo circuito - Resistores
por Vencill » Dom Abr 26, 2015 19:46
- 0 Respostas
- 6341 Exibições
- Última mensagem por Vencill

Dom Abr 26, 2015 19:46
Eletricidade I
-
- [Eletrodinâmica - Gerador e Receptor] Circuito
por raimundoocjr » Seg Out 29, 2012 11:00
- 2 Respostas
- 2790 Exibições
- Última mensagem por raimundoocjr

Seg Out 29, 2012 13:49
Dúvidas Pendentes (aguardando novos colaboradores)
Usuários navegando neste fórum: Nenhum usuário registrado e 26 visitantes
Assunto:
simplifiquei e achei...está certo?????????????
Autor:
zig - Sex Set 23, 2011 13:57
![{(0,05)}^{-\frac{1}{2}}=\frac{10}{\sqrt[5]} {(0,05)}^{-\frac{1}{2}}=\frac{10}{\sqrt[5]}](/latexrender/pictures/19807748a214d3361336324f3e43ea9a.png)
![{(0,05)}^{-\frac{1}{2}}=\frac{10}{\sqrt[2]{5}} {(0,05)}^{-\frac{1}{2}}=\frac{10}{\sqrt[2]{5}}](/latexrender/pictures/3d7908e5b4e397bf635b6546063d9130.png)
Assunto:
simplifiquei e achei...está certo?????????????
Autor:
Vennom - Sex Set 23, 2011 21:41
zig escreveu:![{(0,05)}^{-\frac{1}{2}}=\frac{10}{\sqrt[5]} {(0,05)}^{-\frac{1}{2}}=\frac{10}{\sqrt[5]}](/latexrender/pictures/19807748a214d3361336324f3e43ea9a.png)
![{(0,05)}^{-\frac{1}{2}}=\frac{10}{\sqrt[2]{5}} {(0,05)}^{-\frac{1}{2}}=\frac{10}{\sqrt[2]{5}}](/latexrender/pictures/3d7908e5b4e397bf635b6546063d9130.png)
Rpz, o negócio é o seguinte:
Quando você tem uma potência negativa, tu deve inverter a base dela. Por exemplo:
Então pense o seguinte: a fração geratriz de 0,05 é

, ou seja, 1 dividido por 20 é igual a 0.05 . Sendo assim, a função final é igual a vinte elevado à meio.
Veja:
A raiz quadrada de vinte, você acha fácil, né?
Espero ter ajudado.
Assunto:
simplifiquei e achei...está certo?????????????
Autor:
fraol - Dom Dez 11, 2011 20:23
Nós podemos simplificar, um pouco,

da seguinte forma:

.
É isso.
Assunto:
simplifiquei e achei...está certo?????????????
Autor:
fraol - Dom Dez 11, 2011 20:24
Nós podemos simplificar, um pouco,

da seguinte forma:

.
É isso.
Powered by phpBB © phpBB Group.
phpBB Mobile / SEO by Artodia.