por Bob90 » Ter Abr 09, 2013 07:52

Olá a todos. Estou com sérias dificuldades em resolver exercícios dessa natureza.
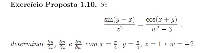
Bom, no caso citado, eu poderia usar aquele teorema no qual eu igualaria toda a função a zero e obteria as derivadas parciais de y em relação a cada uma dessas variáveis ?
Quando eu for obter as derivadas parciais, todas as variáveis (Com exceção da qual eu estou obtendo sua derivada parcial), teriam que ser consideradas como constantes ?Desculpem a ignorância, mas eu estou com curto tempo para aprender isso, ja que tenho prova 5°onde assuntos dessa natureza vão estar em peso na prova e estou um pouco perdido. Desde já, obrigado pela atenção. Fiquem com DEUS !
- Anexos
-

- Imagem do Exér
-
Bob90
- Novo Usuário

-
- Mensagens: 1
- Registrado em: Ter Abr 09, 2013 07:23
- Formação Escolar: GRADUAÇÃO
- Área/Curso: Engenharia
- Andamento: cursando
Voltar para Cálculo: Limites, Derivadas e Integrais
Se chegou até aqui, provavelmente tenha interesse pelos tópicos relacionados abaixo.
Aproveite a leitura. Bons estudos!
-
- Derivação implícita com várias variáveis
por Fernandobertolaccini » Seg Dez 29, 2014 15:45
- 1 Respostas
- 1066 Exibições
- Última mensagem por Fernandobertolaccini

Seg Dez 29, 2014 15:48
Cálculo: Limites, Derivadas e Integrais
-
- Derivação implícita com várias variáveis
por Fernandobertolaccini » Seg Dez 29, 2014 15:50
- 1 Respostas
- 1031 Exibições
- Última mensagem por adauto martins

Seg Dez 29, 2014 19:17
Cálculo: Limites, Derivadas e Integrais
-
- Derivação implícita com várias variáveis
por Fernandobertolaccini » Seg Dez 29, 2014 15:51
- 1 Respostas
- 1044 Exibições
- Última mensagem por adauto martins

Ter Dez 30, 2014 14:23
Cálculo: Limites, Derivadas e Integrais
-
- Derivação Implicita
por xafabi » Qui Mai 02, 2013 13:56
- 0 Respostas
- 1301 Exibições
- Última mensagem por xafabi

Qui Mai 02, 2013 13:56
Cálculo: Limites, Derivadas e Integrais
-
- Derivação implicita.
por cardoed001 » Sáb Set 28, 2013 21:56
- 2 Respostas
- 2702 Exibições
- Última mensagem por cardoed001

Dom Set 29, 2013 12:28
Cálculo: Limites, Derivadas e Integrais
Usuários navegando neste fórum: Nenhum usuário registrado e 43 visitantes
Assunto:
Unesp - 95 Números Complexos
Autor:
Alucard014 - Dom Ago 01, 2010 18:22
(UNESP - 95) Seja L o Afixo de um Número complexo

em um sistema de coordenadas cartesianas xOy. Determine o número complexo b , de módulo igual a 1 , cujo afixo M pertence ao quarto quadrante e é tal que o ângulo LÔM é reto.
Assunto:
Unesp - 95 Números Complexos
Autor:
MarceloFantini - Qui Ago 05, 2010 17:27
Seja

o ângulo entre o eixo horizontal e o afixo

. O triângulo é retângulo com catetos

e

, tal que

. Seja

o ângulo complementar. Então

. Como

, o ângulo que o afixo

formará com a horizontal será

, mas negativo pois tem de ser no quarto quadrante. Se

, então

. Como módulo é um:

.
Logo, o afixo é

.
Powered by phpBB © phpBB Group.
phpBB Mobile / SEO by Artodia.