por HenriqueGS » Dom Jun 05, 2016 20:27
Boa noite pessoal,
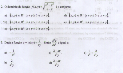
Me ajudem por favor na resolução destes dois exercícios
Observação: Preciso do desenvolvimento,
Desde já obrigado
- Anexos
-

-
HenriqueGS
- Novo Usuário

-
- Mensagens: 4
- Registrado em: Dom Jun 05, 2016 20:00
- Formação Escolar: GRADUAÇÃO
- Andamento: cursando
por Firstlovi » Sex Jun 10, 2016 05:54
I think you are a very good member. To bring about any sharing
-
Firstlovi
- Novo Usuário

-
- Mensagens: 2
- Registrado em: Sex Jun 10, 2016 05:50
- Formação Escolar: ENSINO MÉDIO
- Andamento: cursando
-
por DanielFerreira » Sáb Jun 11, 2016 08:32
Olá Henrique, bom dia!
Questão 2:
Sabemos que em se tratando do conjuntos dos números reais, não existe raiz quadrada de números negativos. Desse modo, temos que:

Resolvendo a inequação acima:

"Sabedoria é saber o que fazer;
habilidade é saber como fazer;
virtude é fazer."
(David S. Jordan)
--------------------------------------------------------------------------------
-
DanielFerreira
- Colaborador - em formação

-
- Mensagens: 1732
- Registrado em: Qui Jul 23, 2009 21:34
- Localização: Mangaratiba - RJ
- Formação Escolar: GRADUAÇÃO
- Área/Curso: Licenciatura em Matemática - IFRJ
- Andamento: formado
-
por DanielFerreira » Sáb Jun 11, 2016 08:42
Questão 3:
Para resolvê-la, considere

como constante; pois o exercício pede a derivada parcial em relação a

.

Derivando em

mais uma vez encontrará a resposta!
Comente qualquer dúvida, ok?!
"Sabedoria é saber o que fazer;
habilidade é saber como fazer;
virtude é fazer."
(David S. Jordan)
--------------------------------------------------------------------------------
-
DanielFerreira
- Colaborador - em formação

-
- Mensagens: 1732
- Registrado em: Qui Jul 23, 2009 21:34
- Localização: Mangaratiba - RJ
- Formação Escolar: GRADUAÇÃO
- Área/Curso: Licenciatura em Matemática - IFRJ
- Andamento: formado
-
Voltar para Cálculo: Limites, Derivadas e Integrais
Se chegou até aqui, provavelmente tenha interesse pelos tópicos relacionados abaixo.
Aproveite a leitura. Bons estudos!
-
- calculo do VAL - exercício
por nhrd » Qui Dez 11, 2008 23:40
- 0 Respostas
- 3680 Exibições
- Última mensagem por nhrd

Qui Dez 11, 2008 23:40
Matemática Financeira
-
- Cálculo em exercício
por Sofiaxavier » Ter Out 19, 2010 20:08
- 1 Respostas
- 1377 Exibições
- Última mensagem por MarceloFantini

Ter Out 19, 2010 20:32
Cálculo: Limites, Derivadas e Integrais
-
- [Cálculo] Exercício
por Pessoa Estranha » Sex Nov 15, 2013 10:26
- 5 Respostas
- 2429 Exibições
- Última mensagem por Pessoa Estranha

Sex Nov 15, 2013 17:08
Cálculo: Limites, Derivadas e Integrais
-
- [Cálculo] Exercício
por Pessoa Estranha » Sáb Dez 28, 2013 15:45
- 5 Respostas
- 2825 Exibições
- Última mensagem por Pessoa Estranha

Sex Jan 03, 2014 17:36
Cálculo: Limites, Derivadas e Integrais
-
- Exercicio Calculo 3
por leocr » Qua Set 20, 2017 11:16
- 0 Respostas
- 2071 Exibições
- Última mensagem por leocr

Qua Set 20, 2017 11:16
Cálculo: Limites, Derivadas e Integrais
Usuários navegando neste fórum: Nenhum usuário registrado e 30 visitantes
Assunto:
[Função] do primeiro grau e quadratica
Autor:
Thassya - Sáb Out 01, 2011 16:20
1) Para que os pontos (1,3) e (-3,1) pertençam ao grafico da função f(X)=ax + b ,o valor de b-a deve ser ?
2)Qual o maior valor assumido pela função f : [-7 ,10] em R definida por f(x) = x ao quadrado - 5x + 9?
3) A função f, do primeiro grau, é definida pos f(x)= 3x + k para que o gráfico de f corte o eixo das ordenadas no ponto de ordenada 5 é?
Assunto:
[Função] do primeiro grau e quadratica
Autor:
Neperiano - Sáb Out 01, 2011 19:46
Ola
Qual as suas dúvidas?
O que você não está conseguindo fazer?
Nos mostre para podermos ajudar
Atenciosamente
Assunto:
[Função] do primeiro grau e quadratica
Autor:
joaofonseca - Sáb Out 01, 2011 20:15
1)Dados dois pontos A=(1,3) e B=(-3,1) de uma reta, é possivel definir a sua equação.
Em

substitui-se
m, substitui-se
y e
x por um dos pares ordenados, e resolve-se em ordem a
b.
2)Na equação

não existem zeros.Senão vejamos
Completando o quadrado,
As coordenadas do vertice da parabola são
O eixo de simetria é a reta

.Como se pode observar o vertice está acima do eixo Ox, estando parabola virada para cima, o vertice é um mínimo absoluto.Então basta calcular a função para os valores dos extremos do intervalo.
f(-7)=93
f(10)=59
Powered by phpBB © phpBB Group.
phpBB Mobile / SEO by Artodia.