por HenriqueGS » Dom Jun 05, 2016 20:27
Boa noite pessoal,
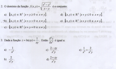
Me ajudem por favor na resolução destes dois exercícios
Observação: Preciso do desenvolvimento,
Desde já obrigado
- Anexos
-

-
HenriqueGS
- Novo Usuário

-
- Mensagens: 4
- Registrado em: Dom Jun 05, 2016 20:00
- Formação Escolar: GRADUAÇÃO
- Andamento: cursando
por Firstlovi » Sex Jun 10, 2016 05:54
I think you are a very good member. To bring about any sharing
-
Firstlovi
- Novo Usuário

-
- Mensagens: 2
- Registrado em: Sex Jun 10, 2016 05:50
- Formação Escolar: ENSINO MÉDIO
- Andamento: cursando
-
por DanielFerreira » Sáb Jun 11, 2016 08:32
Olá Henrique, bom dia!
Questão 2:
Sabemos que em se tratando do conjuntos dos números reais, não existe raiz quadrada de números negativos. Desse modo, temos que:

Resolvendo a inequação acima:

"Sabedoria é saber o que fazer;
habilidade é saber como fazer;
virtude é fazer."
(David S. Jordan)
--------------------------------------------------------------------------------
-
DanielFerreira
- Colaborador - em formação

-
- Mensagens: 1732
- Registrado em: Qui Jul 23, 2009 21:34
- Localização: Mangaratiba - RJ
- Formação Escolar: GRADUAÇÃO
- Área/Curso: Licenciatura em Matemática - IFRJ
- Andamento: formado
-
por DanielFerreira » Sáb Jun 11, 2016 08:42
Questão 3:
Para resolvê-la, considere

como constante; pois o exercício pede a derivada parcial em relação a

.

Derivando em

mais uma vez encontrará a resposta!
Comente qualquer dúvida, ok?!
"Sabedoria é saber o que fazer;
habilidade é saber como fazer;
virtude é fazer."
(David S. Jordan)
--------------------------------------------------------------------------------
-
DanielFerreira
- Colaborador - em formação

-
- Mensagens: 1732
- Registrado em: Qui Jul 23, 2009 21:34
- Localização: Mangaratiba - RJ
- Formação Escolar: GRADUAÇÃO
- Área/Curso: Licenciatura em Matemática - IFRJ
- Andamento: formado
-
Voltar para Cálculo: Limites, Derivadas e Integrais
Se chegou até aqui, provavelmente tenha interesse pelos tópicos relacionados abaixo.
Aproveite a leitura. Bons estudos!
-
- calculo do VAL - exercício
por nhrd » Qui Dez 11, 2008 23:40
- 0 Respostas
- 3676 Exibições
- Última mensagem por nhrd

Qui Dez 11, 2008 23:40
Matemática Financeira
-
- Cálculo em exercício
por Sofiaxavier » Ter Out 19, 2010 20:08
- 1 Respostas
- 1374 Exibições
- Última mensagem por MarceloFantini

Ter Out 19, 2010 20:32
Cálculo: Limites, Derivadas e Integrais
-
- [Cálculo] Exercício
por Pessoa Estranha » Sex Nov 15, 2013 10:26
- 5 Respostas
- 2426 Exibições
- Última mensagem por Pessoa Estranha

Sex Nov 15, 2013 17:08
Cálculo: Limites, Derivadas e Integrais
-
- [Cálculo] Exercício
por Pessoa Estranha » Sáb Dez 28, 2013 15:45
- 5 Respostas
- 2823 Exibições
- Última mensagem por Pessoa Estranha

Sex Jan 03, 2014 17:36
Cálculo: Limites, Derivadas e Integrais
-
- Exercicio Calculo 3
por leocr » Qua Set 20, 2017 11:16
- 0 Respostas
- 2069 Exibições
- Última mensagem por leocr

Qua Set 20, 2017 11:16
Cálculo: Limites, Derivadas e Integrais
Usuários navegando neste fórum: Nenhum usuário registrado e 49 visitantes
Assunto:
simplifiquei e achei...está certo?????????????
Autor:
zig - Sex Set 23, 2011 13:57
![{(0,05)}^{-\frac{1}{2}}=\frac{10}{\sqrt[5]} {(0,05)}^{-\frac{1}{2}}=\frac{10}{\sqrt[5]}](/latexrender/pictures/19807748a214d3361336324f3e43ea9a.png)
![{(0,05)}^{-\frac{1}{2}}=\frac{10}{\sqrt[2]{5}} {(0,05)}^{-\frac{1}{2}}=\frac{10}{\sqrt[2]{5}}](/latexrender/pictures/3d7908e5b4e397bf635b6546063d9130.png)
Assunto:
simplifiquei e achei...está certo?????????????
Autor:
Vennom - Sex Set 23, 2011 21:41
zig escreveu:![{(0,05)}^{-\frac{1}{2}}=\frac{10}{\sqrt[5]} {(0,05)}^{-\frac{1}{2}}=\frac{10}{\sqrt[5]}](/latexrender/pictures/19807748a214d3361336324f3e43ea9a.png)
![{(0,05)}^{-\frac{1}{2}}=\frac{10}{\sqrt[2]{5}} {(0,05)}^{-\frac{1}{2}}=\frac{10}{\sqrt[2]{5}}](/latexrender/pictures/3d7908e5b4e397bf635b6546063d9130.png)
Rpz, o negócio é o seguinte:
Quando você tem uma potência negativa, tu deve inverter a base dela. Por exemplo:
Então pense o seguinte: a fração geratriz de 0,05 é

, ou seja, 1 dividido por 20 é igual a 0.05 . Sendo assim, a função final é igual a vinte elevado à meio.
Veja:
A raiz quadrada de vinte, você acha fácil, né?
Espero ter ajudado.
Assunto:
simplifiquei e achei...está certo?????????????
Autor:
fraol - Dom Dez 11, 2011 20:23
Nós podemos simplificar, um pouco,

da seguinte forma:

.
É isso.
Assunto:
simplifiquei e achei...está certo?????????????
Autor:
fraol - Dom Dez 11, 2011 20:24
Nós podemos simplificar, um pouco,

da seguinte forma:

.
É isso.
Powered by phpBB © phpBB Group.
phpBB Mobile / SEO by Artodia.