por EREGON » Qua Jan 14, 2015 12:28
Olá,
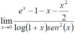
gostaria de umma ajuda para calcular este limite. O meu maior problema é naquele log.
- Anexos
-

- LIMITE2.JPG (13.22 KiB) Exibido 1226 vezes
-
EREGON
- Usuário Ativo

-
- Mensagens: 12
- Registrado em: Seg Nov 10, 2014 16:00
- Formação Escolar: ENSINO MÉDIO
- Área/Curso: informatica
- Andamento: cursando
Voltar para Cálculo: Limites, Derivadas e Integrais
Se chegou até aqui, provavelmente tenha interesse pelos tópicos relacionados abaixo.
Aproveite a leitura. Bons estudos!
-
- [Limites]Envolvendo Logaritmos.
por Pessoa Estranha » Ter Jul 23, 2013 12:54
- 3 Respostas
- 7303 Exibições
- Última mensagem por Pessoa Estranha

Qua Jul 24, 2013 11:17
Cálculo: Limites, Derivadas e Integrais
-
- Calculo de logaritmos
por andersontricordiano » Sáb Mar 19, 2011 14:46
- 1 Respostas
- 1623 Exibições
- Última mensagem por MarceloFantini

Sáb Mar 19, 2011 15:06
Logaritmos
-
- CALCULO DE LOGARITMOS
por andersontricordiano » Qui Abr 07, 2011 02:48
- 1 Respostas
- 3089 Exibições
- Última mensagem por maykinho

Sex Abr 29, 2011 12:04
Logaritmos
-
- Calculo de logaritmos
por andersontricordiano » Dom Abr 10, 2011 23:11
- 1 Respostas
- 1476 Exibições
- Última mensagem por Aliocha Karamazov

Seg Abr 11, 2011 02:02
Logaritmos
-
- (UPE-PE) Calculo de logaritmos
por andersontricordiano » Sex Abr 15, 2011 22:15
- 1 Respostas
- 2074 Exibições
- Última mensagem por MarceloFantini

Sex Abr 15, 2011 22:41
Logaritmos
Usuários navegando neste fórum: Nenhum usuário registrado e 11 visitantes
Assunto:
Taxa de variação
Autor:
felipe_ad - Ter Jun 29, 2010 19:44
Como resolvo uma questao desse tipo:
Uma usina de britagem produz pó de pedra, que ao ser depositado no solo, forma uma pilha cônica onde a altura é aproximadamente igual a 4/3 do raio da base.
(a) Determinar a razão de variação do volume em relação ao raio da base.
(b) Se o raio da base varia a uma taxa de 20 cm/s, qual a razão de variação do volume quando o raio mede 2 m?
A letra (a) consegui resolver e cheguei no resultado correto de

Porem, nao consegui chegar a um resultado correto na letra (b). A resposta certa é
Alguem me ajuda? Agradeço desde já.
Assunto:
Taxa de variação
Autor:
Elcioschin - Qua Jun 30, 2010 20:47
V = (1/3)*pi*r²*h ----> h = 4r/3
V = (1/3)*pi*r²*(4r/3) ----> V = (4*pi/9)*r³
Derivando:
dV/dr = (4*pi/9)*(3r²) -----> dV/dr = 4pi*r²/3
Para dr = 20 cm/s = 0,2 m/s e R = 2 m ----> dV/0,2 = (4*pi*2²)/3 ----> dV = (3,2/3)*pi ----> dV ~= 1,066*pi m³/s
Assunto:
Taxa de variação
Autor:
Guill - Ter Fev 21, 2012 21:17
Temos que o volume é dado por:
Temos, portanto, o volume em função do raio. Podemos diferenciar implicitamente ambos os lados da equação em função do tempo, para encontrar as derivadas em função do tempo:
Sabendo que a taxa de variação do raio é 0,2 m/s e que queremos ataxa de variação do volume quando o raio for 2 m:

Powered by phpBB © phpBB Group.
phpBB Mobile / SEO by Artodia.