por Fabio Cabral » Qui Jun 02, 2011 12:07
Pessoal, tenho bastante dúvidas sobre qual regra usar.
Veja:

Usei a regra do produto: a'(x).b(x)+a(x).b'(x).
Obtive:

Eu posso aplicar a distributiva?
Teria que usar essa regra do produto mesmo?Grato
" A Matemática não mente. Mente quem faz mau uso dela. " - Albert Einstein
-
Fabio Cabral
- Colaborador Voluntário

-
- Mensagens: 122
- Registrado em: Qua Out 06, 2010 11:33
- Localização: Brasília-DF
- Formação Escolar: GRADUAÇÃO
- Área/Curso: Ciência da computação
- Andamento: cursando
por Fabio Cabral » Qui Jun 02, 2011 14:42
pessoal?
" A Matemática não mente. Mente quem faz mau uso dela. " - Albert Einstein
-
Fabio Cabral
- Colaborador Voluntário

-
- Mensagens: 122
- Registrado em: Qua Out 06, 2010 11:33
- Localização: Brasília-DF
- Formação Escolar: GRADUAÇÃO
- Área/Curso: Ciência da computação
- Andamento: cursando
por Charlys Couto » Qui Jun 02, 2011 15:58
E essa mesmo ...
-
Charlys Couto
- Novo Usuário

-
- Mensagens: 4
- Registrado em: Sex Abr 29, 2011 12:05
- Formação Escolar: GRADUAÇÃO
- Área/Curso: Eng. Agronomica
- Andamento: cursando
por Fabio Cabral » Qui Jun 02, 2011 19:35
Certo.

Aplicando a propriedade do Quociente:

Esse é realmente o Resultado?
" A Matemática não mente. Mente quem faz mau uso dela. " - Albert Einstein
-
Fabio Cabral
- Colaborador Voluntário

-
- Mensagens: 122
- Registrado em: Qua Out 06, 2010 11:33
- Localização: Brasília-DF
- Formação Escolar: GRADUAÇÃO
- Área/Curso: Ciência da computação
- Andamento: cursando
por LuizAquino » Qui Jun 02, 2011 19:47
Fabio Cabral escreveu:
Aplicando a propriedade do Quociente:

Esse é realmente o Resultado?
Não.
-

LuizAquino
- Colaborador Moderador - Professor

-
- Mensagens: 2654
- Registrado em: Sex Jan 21, 2011 09:11
- Localização: Teófilo Otoni - MG
- Formação Escolar: PÓS-GRADUAÇÃO
- Área/Curso: Mestrado - Modelagem Computacional
- Andamento: formado
-
por Fabio Cabral » Sex Jun 03, 2011 11:22
Ok, Luiz.
Tentei mais uma vez e cheguei em:

Muito errado ainda?
Grato.
" A Matemática não mente. Mente quem faz mau uso dela. " - Albert Einstein
-
Fabio Cabral
- Colaborador Voluntário

-
- Mensagens: 122
- Registrado em: Qua Out 06, 2010 11:33
- Localização: Brasília-DF
- Formação Escolar: GRADUAÇÃO
- Área/Curso: Ciência da computação
- Andamento: cursando
por LuizAquino » Sex Jun 03, 2011 12:15
Fabio Cabral escreveu:Tentei mais uma vez e cheguei em:

Muito errado ainda?
Sim, está.
Eu recomendo que você envie a sua resolução para que possamos encontrar o erro.
-

LuizAquino
- Colaborador Moderador - Professor

-
- Mensagens: 2654
- Registrado em: Sex Jan 21, 2011 09:11
- Localização: Teófilo Otoni - MG
- Formação Escolar: PÓS-GRADUAÇÃO
- Área/Curso: Mestrado - Modelagem Computacional
- Andamento: formado
-
por Fabio Cabral » Sex Jun 03, 2011 12:31
Eu mesmo o encontrei. O erro foi falta de Atenção.
Queria pedir a vocês aqui do fórum uma força no seguinte sentido.
Dizer se está certo ou não, pois estou querendo realmente SABER! E, para evitar criar vários tópicos repetidos, postarei somente nesse. Tudo bem?
1)

Usei a regra do produto para "montar" e para derivar, usei a regra da cadeia. Resultou em:

2)
![f(x) = \sqrt[3]{2x+1} f(x) = \sqrt[3]{2x+1}](/latexrender/pictures/c378ab0c2e7c876a13143191f861d47e.png)
Resultando em:

Certo?
Obrigado, galera !
" A Matemática não mente. Mente quem faz mau uso dela. " - Albert Einstein
-
Fabio Cabral
- Colaborador Voluntário

-
- Mensagens: 122
- Registrado em: Qua Out 06, 2010 11:33
- Localização: Brasília-DF
- Formação Escolar: GRADUAÇÃO
- Área/Curso: Ciência da computação
- Andamento: cursando
por LuizAquino » Sex Jun 03, 2011 14:29
Fabio Cabral escreveu:Queria pedir a vocês aqui do fórum uma força no seguinte sentido.
Dizer se está certo ou não, pois estou querendo realmente SABER! E, para evitar criar vários tópicos repetidos, postarei somente nesse. Tudo bem?
Por que ao invés disso você não aprende a usar um Sistema Computacional Algébrico? Por exemplo o
SAGE,
Maple ou
Mathematica. Você pode usar esses programas para conferir as suas respostas.
Inclusive, alguns desses programas possuem versões que funcionam on-line. Por exemplo, viste:
http://www.sagenb.org/http://www.wolframalpha.com/
-

LuizAquino
- Colaborador Moderador - Professor

-
- Mensagens: 2654
- Registrado em: Sex Jan 21, 2011 09:11
- Localização: Teófilo Otoni - MG
- Formação Escolar: PÓS-GRADUAÇÃO
- Área/Curso: Mestrado - Modelagem Computacional
- Andamento: formado
-
por Fabio Cabral » Sáb Jun 04, 2011 19:11
Certo, Luiz.
Já tinha aqui o Maple 13, porém, usava somente pra fazer gráficos e conferir limites.
Estou com dificuldade para montar a fórmula para descobrir a derivada. Como faço?
Por exemplo: Quero descobrir a derivada de X³, como escrevo isso de forma que o Maple entenda?
Att,
" A Matemática não mente. Mente quem faz mau uso dela. " - Albert Einstein
-
Fabio Cabral
- Colaborador Voluntário

-
- Mensagens: 122
- Registrado em: Qua Out 06, 2010 11:33
- Localização: Brasília-DF
- Formação Escolar: GRADUAÇÃO
- Área/Curso: Ciência da computação
- Andamento: cursando
por LuizAquino » Sáb Jun 04, 2011 21:10
Fabio Cabral escreveu:Por exemplo: Quero descobrir a derivada de X³, como escrevo isso de forma que o Maple entenda?
Eu tenho certeza que com uma rápida busca você pode encontrar milhares de páginas com tutoriais sobre o Maple!

Que tal procurar um pouco?

-

LuizAquino
- Colaborador Moderador - Professor

-
- Mensagens: 2654
- Registrado em: Sex Jan 21, 2011 09:11
- Localização: Teófilo Otoni - MG
- Formação Escolar: PÓS-GRADUAÇÃO
- Área/Curso: Mestrado - Modelagem Computacional
- Andamento: formado
-
por Fabio Cabral » Dom Jun 05, 2011 16:03
Certo. Dei uma olhada.
Veja:
![f(x)=\sqrt[3]{2x+1} f(x)=\sqrt[3]{2x+1}](/latexrender/pictures/787835e8fce173ac7e2b995ddd713e82.png)



Fiz dessa forma, conforme o professor ensinou para tratar de raízes.
Só que, segunda Maple13 e Wolfram, o resultado é:

Não entendi da onde saiu esse 2 !
Grato
" A Matemática não mente. Mente quem faz mau uso dela. " - Albert Einstein
-
Fabio Cabral
- Colaborador Voluntário

-
- Mensagens: 122
- Registrado em: Qua Out 06, 2010 11:33
- Localização: Brasília-DF
- Formação Escolar: GRADUAÇÃO
- Área/Curso: Ciência da computação
- Andamento: cursando
por AlbertoAM » Dom Jun 05, 2011 19:55
Lembre-se que:

Ou seja, você teria que ter multiplicado a sua expressão pela derivada de (2x+1).
-
AlbertoAM
- Usuário Dedicado

-
- Mensagens: 41
- Registrado em: Qui Nov 11, 2010 15:33
- Formação Escolar: GRADUAÇÃO
- Área/Curso: Engenharia
- Andamento: cursando
por Fabio Cabral » Dom Jun 05, 2011 20:02
Realmente funcionou. Porém estou confundido as coisas..
Isto é a regra da cadeia?
Estou estranhando porque todas as questões que ele passou com raízes, nenhuma teve que ser multiplicada pela derivada de f(x). Ou seja, apenas passei para a forma de potência, descendo o expoente e subtraindo 1 do expoente.
" A Matemática não mente. Mente quem faz mau uso dela. " - Albert Einstein
-
Fabio Cabral
- Colaborador Voluntário

-
- Mensagens: 122
- Registrado em: Qua Out 06, 2010 11:33
- Localização: Brasília-DF
- Formação Escolar: GRADUAÇÃO
- Área/Curso: Ciência da computação
- Andamento: cursando
por AlbertoAM » Dom Jun 05, 2011 20:23
Sim, é a regra da cadeia.
Observe que:
Se

então

.Porém, se:

Ou, seja, não temos que mais que derivar apenas x, temos uma função composta, no caso acima (5x-2).
Observe também que:
![y=\sqrt[3]{cos^2x}={cosx}^{2/3}\Rightarrow y'=\frac{2}{3}{cosx}^{-1/3}(cosx)'=\frac{-2senx}{3\sqrt[3]{cosx}} y=\sqrt[3]{cos^2x}={cosx}^{2/3}\Rightarrow y'=\frac{2}{3}{cosx}^{-1/3}(cosx)'=\frac{-2senx}{3\sqrt[3]{cosx}}](/latexrender/pictures/6465cf5a4f2578720a52c952018b7f47.png)
Novamente, não temos apenas x dentro da raiz .
-
AlbertoAM
- Usuário Dedicado

-
- Mensagens: 41
- Registrado em: Qui Nov 11, 2010 15:33
- Formação Escolar: GRADUAÇÃO
- Área/Curso: Engenharia
- Andamento: cursando
por AlbertoAM » Dom Jun 05, 2011 20:25
AlbertoAM escreveu:Sim, é a regra da cadeia.
Observe que:
Se

então

.Porém, se:

Ou, seja, não temos que mais que derivar apenas x, temos uma função composta, no caso acima (5x-2).
Observe também que:
![y=\sqrt[3]{cos^2x}={(cosx)}^{2/3}\Rightarrow y'=\frac{2}{3}{(cosx)}^{-1/3}(cosx)'=\frac{-2senx}{3\sqrt[3]{cosx}} y=\sqrt[3]{cos^2x}={(cosx)}^{2/3}\Rightarrow y'=\frac{2}{3}{(cosx)}^{-1/3}(cosx)'=\frac{-2senx}{3\sqrt[3]{cosx}}](/latexrender/pictures/12f8ae61f26a0c5a593d044c0f0f29a1.png)
Novamente, não temos apenas x dentro da raiz .
-
AlbertoAM
- Usuário Dedicado

-
- Mensagens: 41
- Registrado em: Qui Nov 11, 2010 15:33
- Formação Escolar: GRADUAÇÃO
- Área/Curso: Engenharia
- Andamento: cursando
por Fabio Cabral » Dom Jun 05, 2011 21:17
Muito bom, Alberto. Muito obrigado mesmo ! Mais dúvidas virão ! hehe
Abraço
" A Matemática não mente. Mente quem faz mau uso dela. " - Albert Einstein
-
Fabio Cabral
- Colaborador Voluntário

-
- Mensagens: 122
- Registrado em: Qua Out 06, 2010 11:33
- Localização: Brasília-DF
- Formação Escolar: GRADUAÇÃO
- Área/Curso: Ciência da computação
- Andamento: cursando
por Fabio Cabral » Dom Jun 05, 2011 21:48
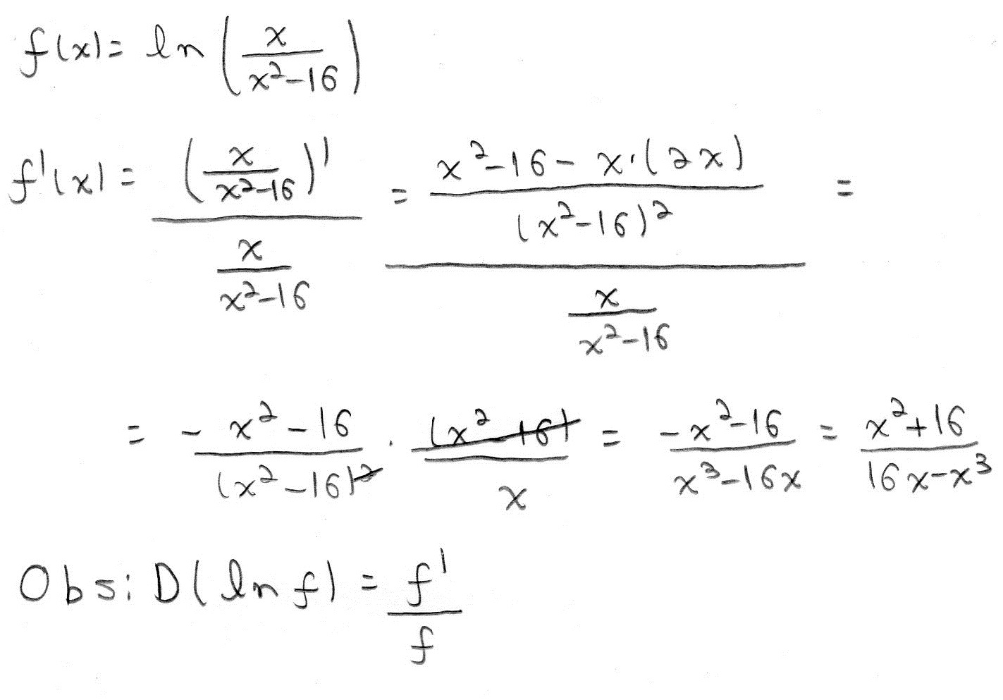
Vejamos a seguinte função:

Ultilizarei a Regra da Cadeia?
Derivei a fração do logaritmando e encontrei:

Se seguir a regra da cadeia, terei que derivar primeiro Log e depois multiplicar pela Fração interna.
Fiz da seguinte maneira pra achar o f'(x)Log:

Depois disso tenho que multiplicar pela função interna novamente?
Não estou conseguindo resolver essa derivada !
Grato
" A Matemática não mente. Mente quem faz mau uso dela. " - Albert Einstein
-
Fabio Cabral
- Colaborador Voluntário

-
- Mensagens: 122
- Registrado em: Qua Out 06, 2010 11:33
- Localização: Brasília-DF
- Formação Escolar: GRADUAÇÃO
- Área/Curso: Ciência da computação
- Andamento: cursando
por AlbertoAM » Seg Jun 06, 2011 22:52
Sim, você terá que usar novamente a Regra da Cadeia.Estou sem tempo para escrever usando o latex, então eu escaneei o que fiz no papel.
Está aqui:
Espero que entenda.
-
AlbertoAM
- Usuário Dedicado

-
- Mensagens: 41
- Registrado em: Qui Nov 11, 2010 15:33
- Formação Escolar: GRADUAÇÃO
- Área/Curso: Engenharia
- Andamento: cursando
por Fabio Cabral » Ter Jun 07, 2011 14:09
Entendi sim. Mas pra mim, esse tipo de simplificação não podia ser feito !
" A Matemática não mente. Mente quem faz mau uso dela. " - Albert Einstein
-
Fabio Cabral
- Colaborador Voluntário

-
- Mensagens: 122
- Registrado em: Qua Out 06, 2010 11:33
- Localização: Brasília-DF
- Formação Escolar: GRADUAÇÃO
- Área/Curso: Ciência da computação
- Andamento: cursando
por Fabio Cabral » Ter Jun 07, 2011 14:24
Agora, uma questão aparentemente fácil, mas que estou tendo dificuldades pra encontrar um resultado que bata com o gabarito.

:
Apliquei a regra do quociente só que não bate com o resultado que é:

" A Matemática não mente. Mente quem faz mau uso dela. " - Albert Einstein
-
Fabio Cabral
- Colaborador Voluntário

-
- Mensagens: 122
- Registrado em: Qua Out 06, 2010 11:33
- Localização: Brasília-DF
- Formação Escolar: GRADUAÇÃO
- Área/Curso: Ciência da computação
- Andamento: cursando
por AlbertoAM » Ter Jun 07, 2011 16:39
Porque a simplicação não poderia ter sido feita?
Quanto ao exercíco:
![f'(x)=5\left[\frac{x^2+x^4-x(2x+4x^3)}{(x^2+x^4)^2}\right]=5\left[\frac{-3x^4-x^2}{x^8+2x^6+x^4} \right]=\\\\5\left[\left\frac{-x^2(3x^2+1)}{x^2(x^6+2x^4+x^2)}\right]=\frac{-5(3x^2+1)}{(x^3+x)^2} f'(x)=5\left[\frac{x^2+x^4-x(2x+4x^3)}{(x^2+x^4)^2}\right]=5\left[\frac{-3x^4-x^2}{x^8+2x^6+x^4} \right]=\\\\5\left[\left\frac{-x^2(3x^2+1)}{x^2(x^6+2x^4+x^2)}\right]=\frac{-5(3x^2+1)}{(x^3+x)^2}](/latexrender/pictures/6fa94e05baad0c7233a9c072aceaa339.png)
Verifique se não é -5 no gabarito por favor.
-
AlbertoAM
- Usuário Dedicado

-
- Mensagens: 41
- Registrado em: Qui Nov 11, 2010 15:33
- Formação Escolar: GRADUAÇÃO
- Área/Curso: Engenharia
- Andamento: cursando
por Fabio Cabral » Qua Jun 08, 2011 10:10
Sim, realmente é - 5.
Agora, não consegui compreender porque o 5 multiplicou todo mundo!
Eu derivei pela regra do quociente da seguinte forma:
N(x) = 5x -> N'(x) = 5
D(x) = (x²+x^4) -> D'(x) = 2x+4x^3
E joguei na regra.
Porque esse 5?
" A Matemática não mente. Mente quem faz mau uso dela. " - Albert Einstein
-
Fabio Cabral
- Colaborador Voluntário

-
- Mensagens: 122
- Registrado em: Qua Out 06, 2010 11:33
- Localização: Brasília-DF
- Formação Escolar: GRADUAÇÃO
- Área/Curso: Ciência da computação
- Andamento: cursando
por AlbertoAM » Qua Jun 08, 2011 15:16
Como o 5 é uma constante, podemos "tirar" ele da derivada.Do mesmo jeito que poderíamos ter derivado como 5x, daria na mesma, mas teríamos mais contas.
-
AlbertoAM
- Usuário Dedicado

-
- Mensagens: 41
- Registrado em: Qui Nov 11, 2010 15:33
- Formação Escolar: GRADUAÇÃO
- Área/Curso: Engenharia
- Andamento: cursando
Voltar para Cálculo: Limites, Derivadas e Integrais
Se chegou até aqui, provavelmente tenha interesse pelos tópicos relacionados abaixo.
Aproveite a leitura. Bons estudos!
-
- [Derivadas] Dificuldade para calcular derivadas CDI 1
por srmai » Seg Nov 04, 2013 01:21
- 0 Respostas
- 2282 Exibições
- Última mensagem por srmai

Seg Nov 04, 2013 01:21
Cálculo: Limites, Derivadas e Integrais
-
- [Derivadas] Interpretação de derivadas e funções
por vinik1 » Qua Out 12, 2011 16:03
- 5 Respostas
- 7522 Exibições
- Última mensagem por vinik1

Qui Out 13, 2011 10:48
Cálculo: Limites, Derivadas e Integrais
-
- [Derivadas] Derivadas em pontos dados
por MarlonMO250 » Sex Mar 01, 2013 21:02
- 6 Respostas
- 5020 Exibições
- Última mensagem por Russman

Sáb Mar 02, 2013 03:42
Cálculo: Limites, Derivadas e Integrais
-
- (derivadas) derivadas com raiz como se faz
por jana garcia » Qua Jun 25, 2014 00:28
- 1 Respostas
- 2991 Exibições
- Última mensagem por e8group

Qua Jun 25, 2014 01:13
Cálculo: Limites, Derivadas e Integrais
-
- [Derivadas] Derivadas com definição de limites
por concurseironf » Sex Set 05, 2014 18:11
- 1 Respostas
- 2019 Exibições
- Última mensagem por DanielFerreira

Dom Set 07, 2014 22:18
Cálculo: Limites, Derivadas e Integrais
Usuários navegando neste fórum: Nenhum usuário registrado e 36 visitantes
Assunto:
função demanda
Autor:
ssousa3 - Dom Abr 03, 2011 20:55
alguém poderia me ajudar nesse exercício aqui Uma loja de CDs adquire cada unidade por R$20,00 e a revende por R$30,00. Nestas condições,
a quantidade mensal que consegue vender é 500 unidades. O proprietário estima que, reduzindo o preço para R$28,00, conseguirá vender 600 unidades por mês.
a) Obtenha a função demanda, supondo ser linear
Eu faço ensino médio mas compro apostilas de concursos para me preparar para mercado de trabalho e estudar sozinho não é fácil. Se alguém puder me ajudar aqui fico grato
Assunto:
função demanda
Autor:
ssousa3 - Seg Abr 04, 2011 14:30
Gente alguém por favor me ensine a calcular a fórmula da função demanda

Powered by phpBB © phpBB Group.
phpBB Mobile / SEO by Artodia.