por Julliana_Ferrari » Sex Mar 11, 2016 13:34
Gente, por favor, ajudem-me!
Estou precisando confirmar uma questão, pois acho que o gabarito está errado e preciso retificar!
QUESTÃO 15
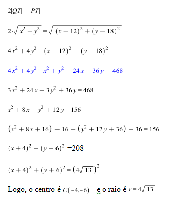
Uma cidade p está situada 12km ao leste e 18km ao norte da cidade q, como indicado na figura. Uma companhia telefônica quer posicionar uma torre retransmissora de modo que sua distância à cidade P seja o dobro da distância até a cidade Q.
Então, o lugar geométrico de um ponto T que represente uma possível localização da torre, na figura, é
01) uma reta paralela ao eixo das abscissas.
02) uma reta paralela ao eixo das ordenadas.
03) uma parábola com vértice no ponto (2,3).
04) uma circunferência de centro C = (4,6) e raio r = 4V13.
05) uma circunferência de centro C = (-4,-6) e raio r = 4V13.
GABARITO: 04
- Anexos
-

-
Julliana_Ferrari
- Novo Usuário

-
- Mensagens: 4
- Registrado em: Qua Mar 02, 2016 01:12
- Formação Escolar: ENSINO MÉDIO
- Andamento: formado
por Julliana_Ferrari » Sex Mar 11, 2016 19:56
Muito, muito obrigada, Lucio!
-
Julliana_Ferrari
- Novo Usuário

-
- Mensagens: 4
- Registrado em: Qua Mar 02, 2016 01:12
- Formação Escolar: ENSINO MÉDIO
- Andamento: formado
Voltar para Geometria Plana
Se chegou até aqui, provavelmente tenha interesse pelos tópicos relacionados abaixo.
Aproveite a leitura. Bons estudos!
-
- [Prova de Calculo integral 2016] Ajuda na resolução
por Flavio50 » Dom Set 03, 2017 12:08
- 0 Respostas
- 3874 Exibições
- Última mensagem por Flavio50

Dom Set 03, 2017 12:08
Cálculo: Limites, Derivadas e Integrais
-
- Matemática Financeira Urgente
por fabricio » Sáb Set 11, 2010 22:31
- 3 Respostas
- 2077 Exibições
- Última mensagem por fabricio

Ter Set 14, 2010 22:30
Matemática Financeira
-
- urgente! matematica - funções
por vinicius cruz » Dom Mar 06, 2011 13:10
- 5 Respostas
- 2580 Exibições
- Última mensagem por Pedro123

Seg Mar 07, 2011 03:07
Funções
-
- Lógica Matemática URGENTE
por Jeffelim » Seg Fev 17, 2014 04:15
- 1 Respostas
- 3130 Exibições
- Última mensagem por Jeffelim

Seg Fev 17, 2014 13:04
Lógica
-
- Matematica Financeira urgente
por Claudio Parana » Qui Nov 19, 2015 12:49
- 0 Respostas
- 3847 Exibições
- Última mensagem por Claudio Parana

Qui Nov 19, 2015 12:49
Matemática Financeira
Usuários navegando neste fórum: Nenhum usuário registrado e 3 visitantes
Assunto:
método de contagem
Autor:
sinuca147 - Seg Mai 25, 2009 09:10
Veja este exercício:
Se A = {

} e B = {

}, então o número de elementos A

B é:
Eu tentei resolver este exercício e achei a resposta "três", mas surgiram muitas dúvidas aqui durante a resolução.
Para determinar os elementos do conjunto A, eu tive de basicamente fazer um lista de vinte dividido por todos os números naturais maiores que zero e menores que vinte e um, finalmente identificando como elementos do conjunto A os números 1, 2, 4, 5, 10 e 20. Acho que procedi de maneira correta, mas fiquei pensando aqui se não existiria um método mais "sofisticado" e prático para que eu pudesse identificar ou ao menos contar o número de elementos do conjunto A, existe?
No processo de determinação dos elementos do conjunto B o que achei foi basicamente os múltiplos de cinco e seus opostos, daí me surgiram estas dúvidas:
existe oposto de zero?
existe inverso de zero?
zero é par, certo?
sendo x um número natural, -x é múltiplo de x?
sendo z um número inteiro negativo, z é múltiplo de z?
sendo z um número inteiro negativo, -z é múltiplo de z?
A resposta é 3?
Obrigado.
Assunto:
método de contagem
Autor:
Molina - Seg Mai 25, 2009 20:42
Boa noite, sinuca.
Se A = {

} você concorda que n só pode ser de 1 a 20? Já que pertence aos naturais?
Ou seja, quais são os divisores de 20? Eles são seis: 1, 2, 4, 5, 10 e 20.
Logo, o conjunto A é
A = {1, 2, 4, 5, 10, 20}
Se B = {

} você concorda que x será os múltiplos de 5 (positivos e negativos)? Já que m pertence ao conjunto Z?
Logo, o conjunto B é
B = {... , -25, -20, -15, -10, -5, 0, 5, 10, 15, 20, 25, ...
Feito isso precisamos ver os números que está em ambos os conjuntos, que são:
5, 10 e 20 (3 valores, como você achou).
Vou responder rapidamente suas dúvidas porque meu tempo está estourando. Qualquer dúvida, coloque aqui, ok?
sinuca147 escreveu:No processo de determinação dos elementos do conjunto B o que achei foi basicamente os múltiplos de cinco e seus opostos, daí me surgiram estas dúvidas:
existe oposto de zero? sim, é o próprio zero
existe inverso de zero? não, pois não há nenhum número que multiplicado por zero resulte em 1
zero é par, certo? sim, pois pode ser escrito da forma de 2n, onde n pertence aos inteiros
sendo x um número natural, -x é múltiplo de x? Sim, pois basta pegar x e multiplicar por -1 que encontramos -x
sendo z um número inteiro negativo, z é múltiplo de z? Sim, tais perguntando se todo número é multiplo de si mesmo
sendo z um número inteiro negativo, -z é múltiplo de z? Sim, pois basta pegar -z e multiplicar por -1 que encontramos x
A resposta é 3? Sim, pelo menos foi o que vimos a cima
Bom estudo,

Assunto:
método de contagem
Autor:
sinuca147 - Seg Mai 25, 2009 23:35
Obrigado, mas olha só este link
http://www.colegioweb.com.br/matematica ... ro-natural
neste link encontra-se a a frase:
Múltiplo de um número natural é qualquer número que possa ser obtido multiplicando o número natural por 0, 1, 2, 3, 4, 5, etc.
Para determinarmos os múltiplos de 15, por exemplo, devemos multiplicá-lo pela sucessão dos números naturais:
Ou seja, de acordo com este link -5 não poderia ser múltiplo de 5, assim como 5 não poderia ser múltiplo de -5, eu sempre achei que não interessava o sinal na questão dos múltiplos, assim como você me confirmou, mas e essa informação contrária deste site, tem alguma credibilidade?
Há e claro, a coisa mais bacana você esqueceu, quero saber se existe algum método de contagem diferente do manual neste caso:
Para determinar os elementos do conjunto A, eu tive de basicamente fazer um lista de vinte dividido por todos os números naturais maiores que zero e menores que vinte e um, finalmente identificando como elementos do conjunto A os números 1, 2, 4, 5, 10 e 20. Acho que procedi de maneira correta, mas fiquei pensando aqui se não existiria um método mais "sofisticado" e prático para que eu pudesse identificar ou ao menos contar o número de elementos do conjunto A, existe?
Powered by phpBB © phpBB Group.
phpBB Mobile / SEO by Artodia.