




Estou precisando confirmar uma questão, pois acho que o gabarito está errado e preciso retificar!
QUESTÃO 15
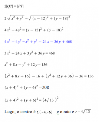
Uma cidade p está situada 12km ao leste e 18km ao norte da cidade q, como indicado na figura. Uma companhia telefônica quer posicionar uma torre retransmissora de modo que sua distância à cidade P seja o dobro da distância até a cidade Q.
Então, o lugar geométrico de um ponto T que represente uma possível localização da torre, na figura, é
01) uma reta paralela ao eixo das abscissas.
02) uma reta paralela ao eixo das ordenadas.
03) uma parábola com vértice no ponto (2,3).
04) uma circunferência de centro C = (4,6) e raio r = 4V13.
05) uma circunferência de centro C = (-4,-6) e raio r = 4V13.
GABARITO: 04