por Jonatan » Qui Ago 05, 2010 18:23
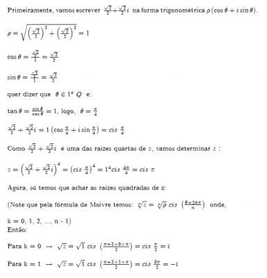
Sendo
![\frac{\sqrt[]{2}}{2}+i\frac{\sqrt[]{2}}{2} \frac{\sqrt[]{2}}{2}+i\frac{\sqrt[]{2}}{2}](/latexrender/pictures/4d4bc97dc99953f1e6d29f3e5e7aa6f6.png)
uma das
raízes quartas de um número z, determinar as
raízes quadradas de z.
Gabarito: i ou -i
Como faz esse exercício utilizando conhecimentos da 2ª de Moivre?
Eu tentei começar a fazer alguma coisa calculando o módulo da raiz dada, que achei módulo 1;
O argumento principal da raiz dada, que achei

, e escrevi todas as
raízes quartas do número complexo z.
O problema é que ele pediu as
raízes quadradas do número complexo z. Mas eu não sei qual é o número complexo z...
Como fazer?? Desde já, agradeço alguma ajuda.
-
Jonatan
- Usuário Dedicado

-
- Mensagens: 26
- Registrado em: Qua Jun 16, 2010 13:29
- Formação Escolar: ENSINO MÉDIO
- Andamento: formado
Voltar para Números Complexos
Se chegou até aqui, provavelmente tenha interesse pelos tópicos relacionados abaixo.
Aproveite a leitura. Bons estudos!
-
- fórmula
por Ismafa » Ter Fev 17, 2009 01:29
- 2 Respostas
- 3266 Exibições
- Última mensagem por Ismafa

Qua Fev 25, 2009 09:57
Sistemas de Equações
-
- Fórmula de PMT
por Leonardonc » Seg Ago 27, 2012 09:27
- 0 Respostas
- 2295 Exibições
- Última mensagem por Leonardonc

Seg Ago 27, 2012 09:27
Matemática Financeira
-
- demonstração de fórmula
por Troe » Ter Out 20, 2009 18:07
- 0 Respostas
- 2193 Exibições
- Última mensagem por Troe

Ter Out 20, 2009 18:07
Trigonometria
-
- Qual é a fórmula?
por thales7l » Qua Nov 04, 2009 18:02
- 1 Respostas
- 2257 Exibições
- Última mensagem por Neperiano

Dom Set 18, 2011 13:53
Estatística
-
- duvida da formula
por pavaroti » Sáb Jan 02, 2010 05:07
- 7 Respostas
- 5956 Exibições
- Última mensagem por Molina

Sáb Jan 02, 2010 22:40
Estatística
Usuários navegando neste fórum: Nenhum usuário registrado e 5 visitantes
Assunto:
Unesp - 95 Números Complexos
Autor:
Alucard014 - Dom Ago 01, 2010 18:22
(UNESP - 95) Seja L o Afixo de um Número complexo

em um sistema de coordenadas cartesianas xOy. Determine o número complexo b , de módulo igual a 1 , cujo afixo M pertence ao quarto quadrante e é tal que o ângulo LÔM é reto.
Assunto:
Unesp - 95 Números Complexos
Autor:
MarceloFantini - Qui Ago 05, 2010 17:27
Seja

o ângulo entre o eixo horizontal e o afixo

. O triângulo é retângulo com catetos

e

, tal que

. Seja

o ângulo complementar. Então

. Como

, o ângulo que o afixo

formará com a horizontal será

, mas negativo pois tem de ser no quarto quadrante. Se

, então

. Como módulo é um:

.
Logo, o afixo é

.
Powered by phpBB © phpBB Group.
phpBB Mobile / SEO by Artodia.