por YuriFreire » Seg Set 01, 2014 21:44
Boa noite,
Gostaria de entender a seguinte questão:
Não consegui fazer pq não consegui eliminar esse tanto de variáveis.
Desde já grato,
Yuri Freire
Editado pela última vez por
YuriFreire em Ter Set 02, 2014 23:25, em um total de 2 vezes.
-
YuriFreire
- Usuário Ativo

-
- Mensagens: 12
- Registrado em: Sex Ago 08, 2014 00:30
- Formação Escolar: GRADUAÇÃO
- Área/Curso: Medicina/Licenciatura em Matemática
- Andamento: cursando
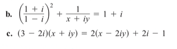
por YuriFreire » Seg Set 01, 2014 22:18
Pessoal,
a B é que é a tensa! UAHsuhasuahhas. Desculpem!
Me ajudem com a B. A letra A eu consegui aqui fazer com paciência e igualando os coeficientes!
Agora a B morri.
Grato,
Yuri Freire
- Anexos
-

- complexos 2.png (13.09 KiB) Exibido 5156 vezes
-
YuriFreire
- Usuário Ativo

-
- Mensagens: 12
- Registrado em: Sex Ago 08, 2014 00:30
- Formação Escolar: GRADUAÇÃO
- Área/Curso: Medicina/Licenciatura em Matemática
- Andamento: cursando
por YuriFreire » Sex Set 05, 2014 15:30
Alguém??
Por favor,
Ainda aguardo auxílio!!
Grato
Yuri Freire
-
YuriFreire
- Usuário Ativo

-
- Mensagens: 12
- Registrado em: Sex Ago 08, 2014 00:30
- Formação Escolar: GRADUAÇÃO
- Área/Curso: Medicina/Licenciatura em Matemática
- Andamento: cursando
por adauto martins » Seg Set 22, 2014 21:19
-
adauto martins
- Colaborador Voluntário

-
- Mensagens: 1171
- Registrado em: Sex Set 05, 2014 19:37
- Formação Escolar: EJA
- Área/Curso: matematica
- Andamento: cursando
Voltar para Números Complexos
Se chegou até aqui, provavelmente tenha interesse pelos tópicos relacionados abaixo.
Aproveite a leitura. Bons estudos!
-
- [módulo do número complexo]
por JKS » Qui Jun 20, 2013 01:56
- 1 Respostas
- 3077 Exibições
- Última mensagem por MateusL

Qui Jul 18, 2013 19:49
Números Complexos
-
- somatória com número complexo
por ezidia51 » Qua Abr 04, 2018 17:44
- 3 Respostas
- 10603 Exibições
- Última mensagem por Gebe

Qui Abr 05, 2018 13:32
Números Complexos
-
- [Número Complexo] Exercício básico...
por Vennom » Sáb Jul 21, 2012 06:57
- 8 Respostas
- 19440 Exibições
- Última mensagem por Russman

Seg Set 10, 2012 15:56
Números Complexos
-
- Numero Complexo, resistência e reatância
por Fran Ianhez » Ter Set 27, 2016 23:07
- 0 Respostas
- 6280 Exibições
- Última mensagem por Fran Ianhez

Ter Set 27, 2016 23:07
Números Complexos
-
- coloque em forma algebrica a+bi o numero complexo
por mary leal » Sáb Out 24, 2009 13:51
- 2 Respostas
- 7760 Exibições
- Última mensagem por mary leal

Sáb Out 24, 2009 15:13
Números Complexos
Usuários navegando neste fórum: Nenhum usuário registrado e 1 visitante
Assunto:
Simplifique a expressão com radicais duplos
Autor:
Balanar - Seg Ago 09, 2010 04:01
Simplifique a expressão com radicais duplos abaixo:
Resposta:
Dica:
(dica : igualar a expressão a

e elevar ao quadrado os dois lados)
Assunto:
Simplifique a expressão com radicais duplos
Autor:
MarceloFantini - Qua Ago 11, 2010 05:46
É só fazer a dica.
Assunto:
Simplifique a expressão com radicais duplos
Autor:
Soprano - Sex Mar 04, 2016 09:49
Olá,
O resultado é igual a 1, certo?
Powered by phpBB © phpBB Group.
phpBB Mobile / SEO by Artodia.