Prezados senhores,
sou estudante de biologia e preciso de ajuda para desenvolver a seguinte fórmula (fórmula 1 em anexo) de cálculo de probabilidade de identificar animais por meio de marcadores genéticos.
encontrei o site de vocês e por isso peço orientação.
o enunciado é: A probabilidade (P0,N) de que o indivíduo A tenha o mesmo genótipo que o indivíduo B, ao acaso para os marcadores de 1 a N é: (segue a fórmula 1). Onde ri = número de alelos para o marcador i, qij é a frequencia do alelo j do marcador i.
os dados, podem ser dados como no exemplo abaixo (são 11 marcadores e cada um tem 2 alelos):
__________ Alelo1 Alelo2
marcador 1 - 0,5000 0,5000
marcador 2 - 0,5000 0,5000
marcador 3 - 0,5000 0,5000
marcador 4 - 0,4750 0,5250
marcador 5 - 0,4750 0,5250
marcador 6 - 0,4750 0,5250
marcador 7 - 0,4500 0,5500
marcador 8 - 0,4500 0,5500
marcador 9 - 0,5750 0,4250
marcador 10 - 0,5750 0,4250
marcador 11 - 0,5750 0,4250
também existe uma outra fórmula, derivada da primeira:
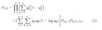
A probabilidade(P1,N) que os indivíduos A e B, genotipados para N marcadores, possuam o mesmo genótipo para todos, exceto 1 marcador ao acaso é (fórmula 2 em anexo)
onde o l-ésimo marcador é diferente para os indivíduos A e B e P0,l-1 e P0,N-l+1 são as probabilidades que os indivíduos A e B tenham genótipos idênticos para os marcadores de l a l-1 e l+1, respectivamente.
meus conhecimentos em matemática não estão me permitindo ir longe com essas fórmulas, é a primeiravez que uso o site por isso preferi anexar as fórmulas
antecipadamente agradeço
Paulo Adamantino (4o ano biologia noturno - Unipinhal - Espírito Santo do Pinhal - SP)


![\frac{\sqrt[]{\sqrt[4]{8}+\sqrt[]{\sqrt[]{2}-1}}-\sqrt[]{\sqrt[4]{8}-\sqrt[]{\sqrt[]{2}-1}}}{\sqrt[]{\sqrt[4]{8}-\sqrt[]{\sqrt[]{2}+1}}} \frac{\sqrt[]{\sqrt[4]{8}+\sqrt[]{\sqrt[]{2}-1}}-\sqrt[]{\sqrt[4]{8}-\sqrt[]{\sqrt[]{2}-1}}}{\sqrt[]{\sqrt[4]{8}-\sqrt[]{\sqrt[]{2}+1}}}](/latexrender/pictures/981987c7bcdf9f8f498ca4605785636a.png)
e elevar ao quadrado os dois lados)