por pkutwak » Qua Mar 31, 2010 15:16
A proposito, depois mostro aqui como fiz para demonstrar que AB = AC através de matrizes dadas, deu certinho, pois a coluna de cada matriz deu 0, assim o determinante de cada matriz é 0, portanto elas são iguais. Vou escanear e postar o arquivo aqui.
-
pkutwak
- Usuário Ativo

-
- Mensagens: 12
- Registrado em: Ter Fev 23, 2010 23:11
- Formação Escolar: GRADUAÇÃO
- Área/Curso: Informática
- Andamento: formado
por pkutwak » Seg Abr 05, 2010 18:08
Ninguém pode dar uma dica pelo menos? Gostaria de saber se meu pensamento está correto?
-
pkutwak
- Usuário Ativo

-
- Mensagens: 12
- Registrado em: Ter Fev 23, 2010 23:11
- Formação Escolar: GRADUAÇÃO
- Área/Curso: Informática
- Andamento: formado
por estudandoMat » Seg Abr 05, 2010 18:53
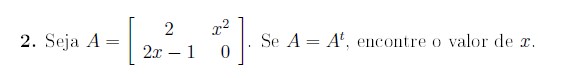
Axo q vc ta fazendo errado pq vc ta multiplicando os resultado da trasposta com a normal. Tem so que comparar.
Ficando:
2 = 2
x² = 2x-1
2x-1 = x²
0 = 0
ai vc tira o x usando essa aki x² = 2x-1
PS: "Ninguém pode dar uma dica pelo menos? Gostaria de saber se meu pensamento está correto?"
Tem q saber esperar um pouco né cara. Ninguem fica grudado aki 24 horas sem ter oq fazer. Abraço
-
estudandoMat
- Usuário Parceiro

-
- Mensagens: 52
- Registrado em: Sex Abr 02, 2010 00:29
- Formação Escolar: GRADUAÇÃO
- Andamento: cursando
por pkutwak » Ter Abr 06, 2010 19:36
Desculpe, estava um pouco desesperado, tenho uma prova daqui a alguns dias e estou correndo contra o tempo.
-
pkutwak
- Usuário Ativo

-
- Mensagens: 12
- Registrado em: Ter Fev 23, 2010 23:11
- Formação Escolar: GRADUAÇÃO
- Área/Curso: Informática
- Andamento: formado
Voltar para Matrizes e Determinantes
Se chegou até aqui, provavelmente tenha interesse pelos tópicos relacionados abaixo.
Aproveite a leitura. Bons estudos!
-
- Ajuda com a resolução
por Mimizinha » Qua Mar 19, 2008 14:40
- 2 Respostas
- 3349 Exibições
- Última mensagem por Mimizinha

Qui Mar 20, 2008 13:18
Álgebra Elementar
-
- ajuda com resolução do problema
por Mimizinha » Qua Mar 19, 2008 16:46
- 2 Respostas
- 2446 Exibições
- Última mensagem por Mimizinha

Qua Mar 19, 2008 17:34
Geometria Plana
-
- Ajuda com resolução do exercicio
por Mimizinha » Ter Abr 01, 2008 10:27
- 3 Respostas
- 5613 Exibições
- Última mensagem por admin

Ter Abr 01, 2008 23:59
Funções
-
- Função - Resolução(ajuda)
por jamiel » Seg Mai 23, 2011 01:13
- 6 Respostas
- 3280 Exibições
- Última mensagem por jamiel

Seg Mai 23, 2011 13:48
Funções
-
- Ajuda na resolução de exercícios
por Carlos Rodrigo » Dom Ago 28, 2011 16:27
- 3 Respostas
- 7384 Exibições
- Última mensagem por MarceloFantini

Seg Ago 29, 2011 09:40
Matemática Financeira
Usuários navegando neste fórum: Nenhum usuário registrado e 3 visitantes
Assunto:
método de contagem
Autor:
sinuca147 - Seg Mai 25, 2009 09:10
Veja este exercício:
Se A = {

} e B = {

}, então o número de elementos A

B é:
Eu tentei resolver este exercício e achei a resposta "três", mas surgiram muitas dúvidas aqui durante a resolução.
Para determinar os elementos do conjunto A, eu tive de basicamente fazer um lista de vinte dividido por todos os números naturais maiores que zero e menores que vinte e um, finalmente identificando como elementos do conjunto A os números 1, 2, 4, 5, 10 e 20. Acho que procedi de maneira correta, mas fiquei pensando aqui se não existiria um método mais "sofisticado" e prático para que eu pudesse identificar ou ao menos contar o número de elementos do conjunto A, existe?
No processo de determinação dos elementos do conjunto B o que achei foi basicamente os múltiplos de cinco e seus opostos, daí me surgiram estas dúvidas:
existe oposto de zero?
existe inverso de zero?
zero é par, certo?
sendo x um número natural, -x é múltiplo de x?
sendo z um número inteiro negativo, z é múltiplo de z?
sendo z um número inteiro negativo, -z é múltiplo de z?
A resposta é 3?
Obrigado.
Assunto:
método de contagem
Autor:
Molina - Seg Mai 25, 2009 20:42
Boa noite, sinuca.
Se A = {

} você concorda que n só pode ser de 1 a 20? Já que pertence aos naturais?
Ou seja, quais são os divisores de 20? Eles são seis: 1, 2, 4, 5, 10 e 20.
Logo, o conjunto A é
A = {1, 2, 4, 5, 10, 20}
Se B = {

} você concorda que x será os múltiplos de 5 (positivos e negativos)? Já que m pertence ao conjunto Z?
Logo, o conjunto B é
B = {... , -25, -20, -15, -10, -5, 0, 5, 10, 15, 20, 25, ...
Feito isso precisamos ver os números que está em ambos os conjuntos, que são:
5, 10 e 20 (3 valores, como você achou).
Vou responder rapidamente suas dúvidas porque meu tempo está estourando. Qualquer dúvida, coloque aqui, ok?
sinuca147 escreveu:No processo de determinação dos elementos do conjunto B o que achei foi basicamente os múltiplos de cinco e seus opostos, daí me surgiram estas dúvidas:
existe oposto de zero? sim, é o próprio zero
existe inverso de zero? não, pois não há nenhum número que multiplicado por zero resulte em 1
zero é par, certo? sim, pois pode ser escrito da forma de 2n, onde n pertence aos inteiros
sendo x um número natural, -x é múltiplo de x? Sim, pois basta pegar x e multiplicar por -1 que encontramos -x
sendo z um número inteiro negativo, z é múltiplo de z? Sim, tais perguntando se todo número é multiplo de si mesmo
sendo z um número inteiro negativo, -z é múltiplo de z? Sim, pois basta pegar -z e multiplicar por -1 que encontramos x
A resposta é 3? Sim, pelo menos foi o que vimos a cima
Bom estudo,

Assunto:
método de contagem
Autor:
sinuca147 - Seg Mai 25, 2009 23:35
Obrigado, mas olha só este link
http://www.colegioweb.com.br/matematica ... ro-natural
neste link encontra-se a a frase:
Múltiplo de um número natural é qualquer número que possa ser obtido multiplicando o número natural por 0, 1, 2, 3, 4, 5, etc.
Para determinarmos os múltiplos de 15, por exemplo, devemos multiplicá-lo pela sucessão dos números naturais:
Ou seja, de acordo com este link -5 não poderia ser múltiplo de 5, assim como 5 não poderia ser múltiplo de -5, eu sempre achei que não interessava o sinal na questão dos múltiplos, assim como você me confirmou, mas e essa informação contrária deste site, tem alguma credibilidade?
Há e claro, a coisa mais bacana você esqueceu, quero saber se existe algum método de contagem diferente do manual neste caso:
Para determinar os elementos do conjunto A, eu tive de basicamente fazer um lista de vinte dividido por todos os números naturais maiores que zero e menores que vinte e um, finalmente identificando como elementos do conjunto A os números 1, 2, 4, 5, 10 e 20. Acho que procedi de maneira correta, mas fiquei pensando aqui se não existiria um método mais "sofisticado" e prático para que eu pudesse identificar ou ao menos contar o número de elementos do conjunto A, existe?
Powered by phpBB © phpBB Group.
phpBB Mobile / SEO by Artodia.