por joohhn » Qua Mai 18, 2016 17:11
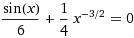
Não estou conseguindo achar as raízes dessa equação senx/6 +(x/4)^-3/2.Eu tiro o MMC e depois?
-
joohhn
- Novo Usuário

-
- Mensagens: 2
- Registrado em: Qua Mai 18, 2016 17:03
- Formação Escolar: GRADUAÇÃO
- Área/Curso: Matemática
- Andamento: cursando
por joohhn » Qua Mai 18, 2016 20:46
Alguém aí?
- Anexos
-

- MSP21491e52d0f4b3i0a9030000631e7c9f5bigf791.gif (898 Bytes) Exibido 1436 vezes
-
joohhn
- Novo Usuário

-
- Mensagens: 2
- Registrado em: Qua Mai 18, 2016 17:03
- Formação Escolar: GRADUAÇÃO
- Área/Curso: Matemática
- Andamento: cursando
Voltar para Trigonometria
Se chegou até aqui, provavelmente tenha interesse pelos tópicos relacionados abaixo.
Aproveite a leitura. Bons estudos!
-
- [raízes de números complexos] Raízes de uma equação com grau
por karenfreitas » Seg Ago 22, 2016 19:08
- 1 Respostas
- 7989 Exibições
- Última mensagem por adauto martins

Sáb Ago 27, 2016 16:11
Números Complexos
-
- Raízes da equação
por Andreza » Ter Nov 01, 2011 12:31
- 3 Respostas
- 1552 Exibições
- Última mensagem por Andreza

Ter Nov 01, 2011 18:04
Trigonometria
-
- Raízes da equação
por Andreza » Seg Nov 14, 2011 14:47
- 1 Respostas
- 1117 Exibições
- Última mensagem por MarceloFantini

Seg Nov 14, 2011 19:19
Funções
-
- Equação Raízes
por LuizCarlos » Seg Mai 07, 2012 13:59
- 2 Respostas
- 1311 Exibições
- Última mensagem por Cleyson007

Seg Mai 07, 2012 14:50
Álgebra Elementar
-
- equação de raízes complexas
por MariPC » Sáb Ago 15, 2009 15:56
- 1 Respostas
- 2155 Exibições
- Última mensagem por Felipe Schucman

Sáb Ago 15, 2009 17:35
Números Complexos
Usuários navegando neste fórum: Nenhum usuário registrado e 2 visitantes
Assunto:
Conjunto dos números racionais.
Autor:
scggomes - Sex Fev 18, 2011 10:38
Olá ! Tenho essa dúvida e não consigo montar o problema para resolução:
Qual é o racional não nulo cujo o quadrado é igual à sua terça parte ?
Grata.
Assunto:
Conjunto dos números racionais.
Autor:
MarceloFantini - Sex Fev 18, 2011 12:27

Assunto:
Conjunto dos números racionais.
Autor:
scggomes - Sex Fev 18, 2011 12:55
também pensei que fosse assim, mas a resposta é

.
Obrigada Fantini.
Assunto:
Conjunto dos números racionais.
Autor:
MarceloFantini - Sex Fev 18, 2011 13:01
Como

:
O que você fez?
Assunto:
Conjunto dos números racionais.
Autor:
scggomes - Sex Fev 18, 2011 16:17
eu só consegui fazer a igualdade, não consegui desenvolver o restante, não pensei em fatoração, mas agora entendi o que vc fez.
Obrigada.
Powered by phpBB © phpBB Group.
phpBB Mobile / SEO by Artodia.