por adauto martins » Qui Nov 06, 2014 15:46
-
adauto martins
- Colaborador Voluntário

-
- Mensagens: 1171
- Registrado em: Sex Set 05, 2014 19:37
- Formação Escolar: EJA
- Área/Curso: matematica
- Andamento: cursando
por lucassouza » Qui Nov 06, 2014 15:59
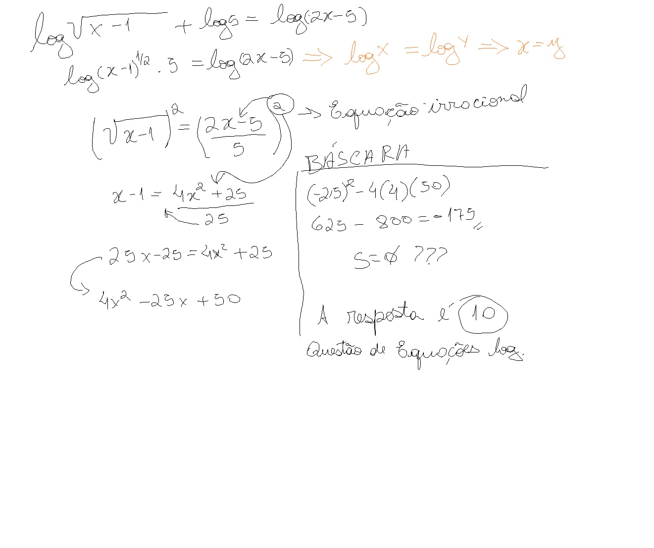
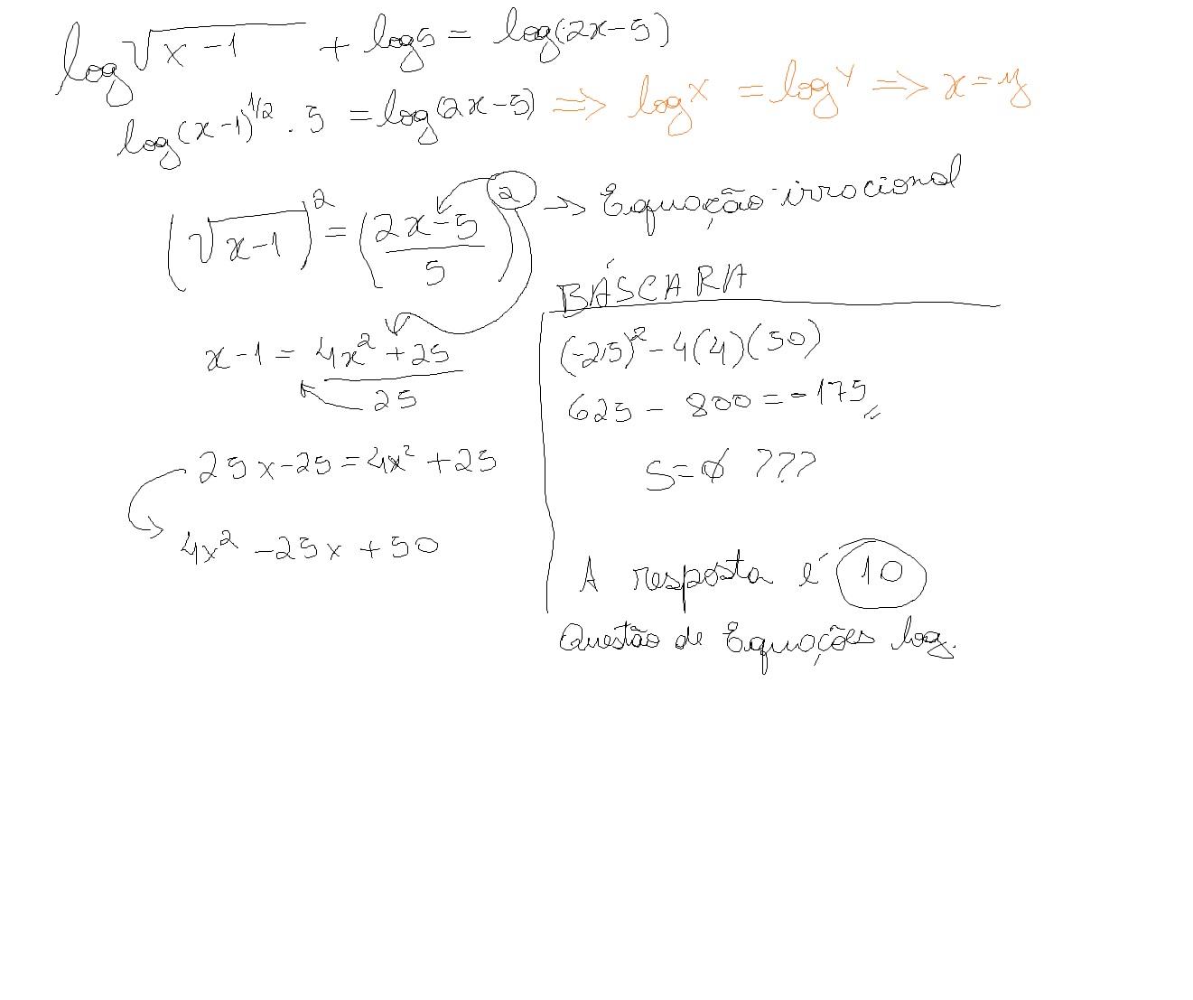
Velho, não consegui entender essa resolução =(
-
lucassouza
- Usuário Dedicado

-
- Mensagens: 29
- Registrado em: Seg Set 15, 2014 15:03
- Formação Escolar: SUPLETIVO
- Andamento: cursando
Voltar para Logaritmos
Se chegou até aqui, provavelmente tenha interesse pelos tópicos relacionados abaixo.
Aproveite a leitura. Bons estudos!
-
- Equações Logarítmicas
por Danilo Dias Vilela » Qua Set 01, 2010 11:21
- 1 Respostas
- 1612 Exibições
- Última mensagem por MarceloFantini

Qua Set 01, 2010 21:56
Álgebra Elementar
-
- equações logaritmicas
por vinicius cruz » Dom Mar 06, 2011 19:28
- 3 Respostas
- 2773 Exibições
- Última mensagem por LuizAquino

Dom Mar 06, 2011 19:54
Logaritmos
-
- equações logarítmicas
por Luan Cordeiro » Qui Ago 04, 2011 20:42
- 2 Respostas
- 1996 Exibições
- Última mensagem por Claudin

Sex Ago 05, 2011 01:34
Logaritmos
-
- equações logarítmicas
por Luan Cordeiro » Sáb Ago 06, 2011 19:20
- 1 Respostas
- 1528 Exibições
- Última mensagem por LuizAquino

Dom Ago 07, 2011 13:39
Logaritmos
-
- Equações Logarítmicas
por lucassouza » Qua Nov 05, 2014 17:35
- 1 Respostas
- 1584 Exibições
- Última mensagem por Russman

Qua Nov 05, 2014 23:05
Logaritmos
Usuários navegando neste fórum: Nenhum usuário registrado e 6 visitantes
Assunto:
Unesp - 95 Números Complexos
Autor:
Alucard014 - Dom Ago 01, 2010 18:22
(UNESP - 95) Seja L o Afixo de um Número complexo

em um sistema de coordenadas cartesianas xOy. Determine o número complexo b , de módulo igual a 1 , cujo afixo M pertence ao quarto quadrante e é tal que o ângulo LÔM é reto.
Assunto:
Unesp - 95 Números Complexos
Autor:
MarceloFantini - Qui Ago 05, 2010 17:27
Seja

o ângulo entre o eixo horizontal e o afixo

. O triângulo é retângulo com catetos

e

, tal que

. Seja

o ângulo complementar. Então

. Como

, o ângulo que o afixo

formará com a horizontal será

, mas negativo pois tem de ser no quarto quadrante. Se

, então

. Como módulo é um:

.
Logo, o afixo é

.
Powered by phpBB © phpBB Group.
phpBB Mobile / SEO by Artodia.