por Adriana Barbosa » Seg Jun 01, 2009 11:01
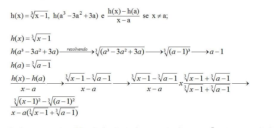
Estou tentando resolver esta questão de função, eu sei que apartir de onde eu parei tenho de racionalizar, mas não estou encontrando uma idéia

, poderia me ajudar?
Obrigada
- Anexos
-

-
Adriana Barbosa
- Novo Usuário

-
- Mensagens: 8
- Registrado em: Ter Mai 26, 2009 21:45
- Formação Escolar: GRADUAÇÃO
- Área/Curso: Química
- Andamento: cursando
por Molina » Ter Jun 02, 2009 07:00
Bom dia, Adriana.
Só corrigindo (provavelmente apenas um erro de digitação):
No anexo, na terceira linha, após a primeira seta, dentro da raiz está faltando o
-1, ok?
Agora vamos segunda parte.
Esta racionalização que você fez (multiplicar pelo conjugado) só é realmente favorável quando tratamos de raizes quadradas, porque assim as raizes se "anulam" e ficamos sem elas. Na raiz cúbica (na verdade quando o índice for maior do que 2) utilizamos outro método:
![\sqrt[x]{k^a} * \sqrt[y]{k^b} = k^{\frac{a}{x}+\frac{b}{y}} \sqrt[x]{k^a} * \sqrt[y]{k^b} = k^{\frac{a}{x}+\frac{b}{y}}](/latexrender/pictures/2bd204678baf4bc35a53b983a58de1b1.png)
, tal que

deve ser igual a 1. Então você deve substituir as letras por valores convenientes.
Tente resolver desta forma e qualquer coisa é só comentar aqui.
Bom estudo,

Diego Molina |
CV |
FB |
.COMEquipe AjudaMatemática.com"Existem 10 tipos de pessoas: as que conhecem o sistema binário e as que não conhecem."
-

Molina
- Colaborador Moderador - Professor

-
- Mensagens: 1551
- Registrado em: Dom Jun 01, 2008 14:10
- Formação Escolar: GRADUAÇÃO
- Área/Curso: Licenciatura em Matemática - UFSC
- Andamento: formado
Voltar para Funções
Se chegou até aqui, provavelmente tenha interesse pelos tópicos relacionados abaixo.
Aproveite a leitura. Bons estudos!
-
- duvidas e + duvidas
por sukita » Ter Out 05, 2010 22:22
- 1 Respostas
- 1670 Exibições
- Última mensagem por MarceloFantini

Ter Out 05, 2010 22:31
Progressões
-
- Duvidas
por Paulo A G » Qua Jan 26, 2011 14:45
- 1 Respostas
- 2996 Exibições
- Última mensagem por Molina

Qua Jan 26, 2011 15:09
Pedidos de Materiais
-
- 2 dúvidas
por analuiza » Qui Fev 17, 2011 23:14
- 1 Respostas
- 2718 Exibições
- Última mensagem por Molina

Sex Fev 18, 2011 13:33
Trigonometria
-
- Dúvidas ....
por vanessa134 » Seg Out 17, 2011 01:06
- 0 Respostas
- 1508 Exibições
- Última mensagem por vanessa134

Seg Out 17, 2011 01:06
Álgebra Elementar
-
- Dúvidas D:
por Aliiine » Seg Out 24, 2011 11:12
- 1 Respostas
- 2025 Exibições
- Última mensagem por jose henrique

Seg Out 24, 2011 22:47
Estatística
Usuários navegando neste fórum: Nenhum usuário registrado e 2 visitantes
Assunto:
dúvida em uma questão em regra de 3!
Autor:
leandro moraes - Qui Jul 01, 2010 12:41
pessoal eu achei como resultado 180 toneladas,entretanto sei que a questão está erra pela lógica e a resposta correta segundo o gabarito é 1.800 toneladas.
me explique onde eu estou pecando na questão. resolva explicando.
78 – ( CEFET – 1993 ) Os desabamentos, em sua maioria, são causados por grande acúmulo de lixo nas encostas dos morros. Se 10 pessoas retiram 135 toneladas de lixo em 9 dias, quantas toneladas serão retiradas por 40 pessoas em 30 dias ?
Assunto:
dúvida em uma questão em regra de 3!
Autor:
Douglasm - Qui Jul 01, 2010 13:16
Observe o raciocínio:
10 pessoas - 9 dias - 135 toneladas
1 pessoa - 9 dias - 13,5 toneladas
1 pessoa - 1 dia - 1,5 toneladas
40 pessoas - 1 dia - 60 toneladas
40 pessoas - 30 dias - 1800 toneladas
Assunto:
dúvida em uma questão em regra de 3!
Autor:
leandro moraes - Qui Jul 01, 2010 13:18
pessoal já achei a resposta. o meu erro foi bobo rsrsrrs errei em uma continha de multiplicação, é mole rsrsrsr mas felizmente consegui.
Assunto:
dúvida em uma questão em regra de 3!
Autor:
leandro moraes - Qui Jul 01, 2010 13:21
leandro moraes escreveu:pessoal já achei a resposta. o meu erro foi bobo rsrsrrs errei em uma continha de multiplicação, é mole rsrsrsr mas felizmente consegui.
valeu meu camarada.
Powered by phpBB © phpBB Group.
phpBB Mobile / SEO by Artodia.