por brunnomaia » Dom Mar 06, 2011 11:07
Pessoal sou novo no fórum e este é meu primeiro tópico, desculpe se o tópico estiver no local errado.
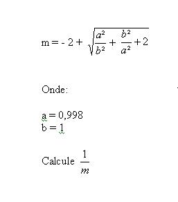
Eu tenho 32 anos e estou querendo depois de velho tentar vestibular para Engenharia Civil, O fato é que estou com algumas apostilas de cursinho fazendo exercícios e esbarrei logo de cara na questão abaixo:
O fato é que a anos eu não vejo matemática então não sei nem por onde começar..
Eu tenho o resultado porém não consigo chegar nele, até imagino que seja bem simples mas minha cabeça não consegue puxar pela memória o que aprendi a anos atrás.
- Anexos
-

- Equação.JPG (5.77 KiB) Exibido 1844 vezes
-
brunnomaia
- Novo Usuário

-
- Mensagens: 2
- Registrado em: Dom Mar 06, 2011 10:59
- Formação Escolar: ENSINO MÉDIO
- Andamento: cursando
por LuizAquino » Dom Mar 06, 2011 11:40
Você quer calcular

.
Portanto, você quer o valor de

.
Primeiro, vamos simplificar um pouco essa raiz.

Usando o produto notável

, nós temos que:

Como
a e
b são números positivos, podemos efetuar a simplificação entre a raiz quadrada e a potência 2.


Usando o produto notável

, temos que:


Agora, basta substituir os valores para
a e
b:
SugestãoAcredito que o tópico a seguir deva lhe interessar:
Aulas de Matemática no YouTubeviewtopic.php?f=120&t=3818
-

LuizAquino
- Colaborador Moderador - Professor

-
- Mensagens: 2654
- Registrado em: Sex Jan 21, 2011 09:11
- Localização: Teófilo Otoni - MG
- Formação Escolar: PÓS-GRADUAÇÃO
- Área/Curso: Mestrado - Modelagem Computacional
- Andamento: formado
-
por brunnomaia » Dom Mar 06, 2011 11:53
Muito Obrigado!
Eu estava tentando simplificar desde o começo substituindo o b por 1 , não lembrava dos produtos notáveis!
-
brunnomaia
- Novo Usuário

-
- Mensagens: 2
- Registrado em: Dom Mar 06, 2011 10:59
- Formação Escolar: ENSINO MÉDIO
- Andamento: cursando
Voltar para Funções
Se chegou até aqui, provavelmente tenha interesse pelos tópicos relacionados abaixo.
Aproveite a leitura. Bons estudos!
-
- Dúvida - resolução função !
por jamiel » Qui Mai 26, 2011 18:07
- 11 Respostas
- 6004 Exibições
- Última mensagem por jamiel

Qui Mai 26, 2011 22:31
Funções
-
- Função Sen - Dúvida Resolução
por jamiel » Sáb Jul 02, 2011 17:47
- 7 Respostas
- 4543 Exibições
- Última mensagem por jamiel

Sáb Jul 02, 2011 19:42
Funções
-
- Função Exponencial - Dúvida na resolução!
por jamiel » Dom Mai 15, 2011 14:09
- 1 Respostas
- 4796 Exibições
- Última mensagem por Claudin

Dom Mai 15, 2011 14:21
Funções
-
- Retângulo - função(resolução-dúvida)
por jamiel » Seg Mai 23, 2011 14:44
- 2 Respostas
- 4059 Exibições
- Última mensagem por jamiel

Seg Mai 23, 2011 21:39
Funções
-
- Dúvida - resolução(função inversa)
por jamiel » Ter Jun 14, 2011 18:49
- 1 Respostas
- 1479 Exibições
- Última mensagem por DanielFerreira

Qui Jun 16, 2011 16:00
Funções
Usuários navegando neste fórum: Nenhum usuário registrado e 3 visitantes
Assunto:
Unesp - 95 Números Complexos
Autor:
Alucard014 - Dom Ago 01, 2010 18:22
(UNESP - 95) Seja L o Afixo de um Número complexo

em um sistema de coordenadas cartesianas xOy. Determine o número complexo b , de módulo igual a 1 , cujo afixo M pertence ao quarto quadrante e é tal que o ângulo LÔM é reto.
Assunto:
Unesp - 95 Números Complexos
Autor:
MarceloFantini - Qui Ago 05, 2010 17:27
Seja

o ângulo entre o eixo horizontal e o afixo

. O triângulo é retângulo com catetos

e

, tal que

. Seja

o ângulo complementar. Então

. Como

, o ângulo que o afixo

formará com a horizontal será

, mas negativo pois tem de ser no quarto quadrante. Se

, então

. Como módulo é um:

.
Logo, o afixo é

.
Powered by phpBB © phpBB Group.
phpBB Mobile / SEO by Artodia.