por EREGON » Sex Nov 14, 2014 14:22
Oi,
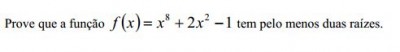
Gostaria de solicitar a vossa ajuda para calcular as raízes de uma função, conforme o exercício em anexo. Qual o melhor metodo para este cálculo?
Obrigado
- Anexos
-

-
EREGON
- Usuário Ativo

-
- Mensagens: 12
- Registrado em: Seg Nov 10, 2014 16:00
- Formação Escolar: ENSINO MÉDIO
- Área/Curso: informatica
- Andamento: cursando
por EREGON » Sex Jan 16, 2015 11:04
Olá,
podem dar-me uma ajuda neste problema?
Obrigado.
-
EREGON
- Usuário Ativo

-
- Mensagens: 12
- Registrado em: Seg Nov 10, 2014 16:00
- Formação Escolar: ENSINO MÉDIO
- Área/Curso: informatica
- Andamento: cursando
por adauto martins » Seg Jan 19, 2015 09:56
regra de descartes:
Sejam p(z) = a0+ a1z + ... + an zn um polinomio real (diferente do polinomio
zero), T o número de troca de sinais na seqüencia de seus coeficientes ak nao nulos, e r o número
de suas ra?zes reais positivas (cada qual contada com a sua respectiva multiplicidade). Entao, T ?r
é par e nao-negativo.
usando o teroema podemos:


(++-)uma troca de sinal,entao

,como

tem uma raiz real positiva...
faz-se

...logo

,pois(++-),uma troca de sinais...
logo

,p(x) tera uma raiz real negativa...entao pode-se concluir q. p(x) tem uma raiz real positiva,uma raiz real negativa e tres raizes complexas e seus conjugados,pois sua ordem e de 8...junto a soluçao segue um anexo sobre raizes de polinomios
-
adauto martins
- Colaborador Voluntário

-
- Mensagens: 1171
- Registrado em: Sex Set 05, 2014 19:37
- Formação Escolar: EJA
- Área/Curso: matematica
- Andamento: cursando
Voltar para Funções
Se chegou até aqui, provavelmente tenha interesse pelos tópicos relacionados abaixo.
Aproveite a leitura. Bons estudos!
-
- Calculo das raízes
por nanasouza123 » Sex Set 22, 2017 21:06
- 0 Respostas
- 1163 Exibições
- Última mensagem por nanasouza123

Sex Set 22, 2017 21:06
Equações
-
- cálculo de raízes
por ezidia51 » Dom Mar 25, 2018 16:22
- 2 Respostas
- 2451 Exibições
- Última mensagem por ezidia51

Dom Mar 25, 2018 19:31
Aritmética
-
- Cálculo das raízes de um polinômio
por eu_dick1 » Ter Nov 11, 2014 23:42
- 0 Respostas
- 1613 Exibições
- Última mensagem por eu_dick1

Ter Nov 11, 2014 23:42
Polinômios
-
- [Calculo I] Limites envolvendo raízes.
por Jefferson_mcz » Seg Mar 18, 2013 14:00
- 1 Respostas
- 1737 Exibições
- Última mensagem por young_jedi

Seg Mar 18, 2013 20:35
Cálculo: Limites, Derivadas e Integrais
-
- CÁLCULO DE LIMITE COM RAIZES DE ÍNDICES DIFERENTES
por thiago15_2 » Qui Fev 27, 2014 01:20
- 1 Respostas
- 2457 Exibições
- Última mensagem por young_jedi

Sex Fev 28, 2014 15:15
Cálculo: Limites, Derivadas e Integrais
Usuários navegando neste fórum: Nenhum usuário registrado e 12 visitantes
Assunto:
Funções
Autor:
Emilia - Sex Dez 03, 2010 13:24
Preciso de ajuda no seguinte problema:
O governo de um Estado Brasileiro mudou a contribuição previdenciária de seus contribuintes. era de 6% sobre qualquer salário; passou para 11% sobre o que excede R$1.200,00 nos salários. Por exemplo, sobre uma salário de R$1.700,00, a contribuição anterior era: 0,06x R$1.700,00 = R$102,00; e a atual é: 0,11x(R$1.700,00 - R$1.200,00) = R$55,00.
i. Determine as funções que fornecem o valor das contribuições em função do valor x do salário antes e depois da mudança na forma de cobrança.
ii. Esboce seus gráficos.
iii. Determine os valores de salários para os quais:
- a contribuição diminuiu;
- a contribuição permaneceu a mesma;
- a contribuição aumentou.
Powered by phpBB © phpBB Group.
phpBB Mobile / SEO by Artodia.