• Anúncio Global
    Respostas
    Exibições
    Última mensagem

[Funções] Domínio e a imagem de funções

[Funções] Domínio e a imagem de funções

Mensagempor concurseironf » Qui Ago 21, 2014 12:24

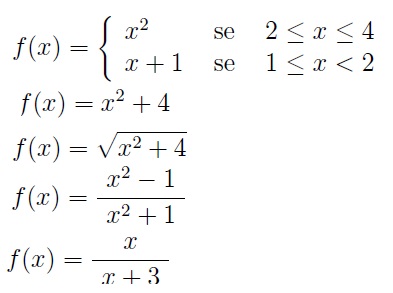
Determine o domínio e a imagem das seguintes funções?

Alguém pode me ajudar com exemplos e resoluções de questões parecidas com estas da imagem (em anexo)?

E por favor alguém indiciaria um link com uma boa explicação, ou com exercícios resolvidos ou para serem resolvidos sobre o tema ?
Anexos
Funções.jpg
Funções.jpg (23.33 KiB) Exibido 4190 vezes
concurseironf
Novo Usuário
Novo Usuário
 
Mensagens: 3
Registrado em: Qui Ago 21, 2014 12:21
Formação Escolar: GRADUAÇÃO
Área/Curso: Informática
Andamento: cursando

Re: [Funções] Domínio e a imagem de funções

Mensagempor Pessoa Estranha » Sex Ago 22, 2014 20:11

Olá!

Função é um tipo de relação munida de algumas características particulares, isto é, não é uma relação qualquer. Numa relação temos o que chamamos de Conjunto de Partida e o Conjunto de Chegada. Nas funções, esses conjuntos são, respectivamente, Domínio e Contradomínio. Em particular, nas funções todos os elementos do conjunto de partida, neste caso, domínio, devem fazer parte da relação. Caso algum elemento desse conjunto não tenha uma imagem na relação, então não estamos trabalhando com uma função. Agora, o contradomínio não faz essa exigência, ou seja, nem todos os elementos desse conjunto precisam fazer parte da relação. Logo, o conjunto imagem está contido no contradomínio, mas a recíproca nem sempre vale. Quando esses conjuntos são iguais, dizemos que a função é sobrejetora.
Vejamos alguns exemplos:
1) Seja f: N --> N (relação cujo conjunto de partida e conjunto de chegada são os naturais) uma função tal que f(x) = x. O domínio dessa função, ou seja, D(f) é dado por N (naturais); o contradomínio é CD(f) = N; e, observemos que a f não apresenta "condições de existência", isto é, está definida para todos os números naturais e, portanto, a sua imagem também corresponde ao conjunto dos números naturais (Im(f) = CD(f) = N).
2) Seja g: R* --> R uma função tal que g(x) = 1/x. Observemos que esta função nunca terá imagem igual a zero. Logo, Im(g) = R*. https://www.wolframalpha.com/input/?i=1%2Fx
3) Seja h: R --> R uma função tal que h(x) = x^2 + 4. Notemos que x^2 é sempre positivo. Da mesma forma, x^2 + 4 também é sempre positivo para qualquer valor de x. Logo, os números negativos já podem ser excluídos da imagem, apesar de fazerem parte do contradomínio. Analogamente, note que x^2 + 4 nunca será igual a zero, uma vez que teríamos x^2 = -4, o que não está definido para o mundo dos números reais e, sim, para os complexos. Assim, o zero também não está na imagem de h. Veja: https://www.wolframalpha.com/input/?i=x^2+%2B+4

Em resumo é isso... Entendeu? Se quiser, pode perguntar... :y:
Pessoa Estranha
Colaborador Voluntário
Colaborador Voluntário
 
Mensagens: 262
Registrado em: Ter Jul 16, 2013 16:43
Formação Escolar: GRADUAÇÃO
Área/Curso: Matemática
Andamento: cursando


Voltar para Funções

 



  • Tópicos relacionados
    Respostas
    Exibições
    Última mensagem

Quem está online

Usuários navegando neste fórum: Nenhum usuário registrado e 1 visitante

 



Assunto: dúvida em uma questão em regra de 3!
Autor: leandro moraes - Qui Jul 01, 2010 12:41

pessoal eu achei como resultado 180 toneladas,entretanto sei que a questão está erra pela lógica e a resposta correta segundo o gabarito é 1.800 toneladas.
me explique onde eu estou pecando na questão. resolva explicando.

78 – ( CEFET – 1993 ) Os desabamentos, em sua maioria, são causados por grande acúmulo de lixo nas encostas dos morros. Se 10 pessoas retiram 135 toneladas de lixo em 9 dias, quantas toneladas serão retiradas por 40 pessoas em 30 dias ?


Assunto: dúvida em uma questão em regra de 3!
Autor: Douglasm - Qui Jul 01, 2010 13:16

Observe o raciocínio:

10 pessoas - 9 dias - 135 toneladas

1 pessoa - 9 dias - 13,5 toneladas

1 pessoa - 1 dia - 1,5 toneladas

40 pessoas - 1 dia - 60 toneladas

40 pessoas - 30 dias - 1800 toneladas


Assunto: dúvida em uma questão em regra de 3!
Autor: leandro moraes - Qui Jul 01, 2010 13:18

pessoal já achei a resposta. o meu erro foi bobo rsrsrrs errei em uma continha de multiplicação, é mole rsrsrsr mas felizmente consegui.


Assunto: dúvida em uma questão em regra de 3!
Autor: leandro moraes - Qui Jul 01, 2010 13:21

leandro moraes escreveu:pessoal já achei a resposta. o meu erro foi bobo rsrsrrs errei em uma continha de multiplicação, é mole rsrsrsr mas felizmente consegui.

valeu meu camarada.