por Adriana Barbosa » Seg Jun 01, 2009 11:01
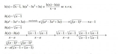
Estou tentando resolver esta questão de função, eu sei que apartir de onde eu parei tenho de racionalizar, mas não estou encontrando uma idéia

, poderia me ajudar?
Obrigada
- Anexos
-

-
Adriana Barbosa
- Novo Usuário

-
- Mensagens: 8
- Registrado em: Ter Mai 26, 2009 21:45
- Formação Escolar: GRADUAÇÃO
- Área/Curso: Química
- Andamento: cursando
por Molina » Ter Jun 02, 2009 07:00
Bom dia, Adriana.
Só corrigindo (provavelmente apenas um erro de digitação):
No anexo, na terceira linha, após a primeira seta, dentro da raiz está faltando o
-1, ok?
Agora vamos segunda parte.
Esta racionalização que você fez (multiplicar pelo conjugado) só é realmente favorável quando tratamos de raizes quadradas, porque assim as raizes se "anulam" e ficamos sem elas. Na raiz cúbica (na verdade quando o índice for maior do que 2) utilizamos outro método:
![\sqrt[x]{k^a} * \sqrt[y]{k^b} = k^{\frac{a}{x}+\frac{b}{y}} \sqrt[x]{k^a} * \sqrt[y]{k^b} = k^{\frac{a}{x}+\frac{b}{y}}](/latexrender/pictures/2bd204678baf4bc35a53b983a58de1b1.png)
, tal que

deve ser igual a 1. Então você deve substituir as letras por valores convenientes.
Tente resolver desta forma e qualquer coisa é só comentar aqui.
Bom estudo,

Diego Molina |
CV |
FB |
.COMEquipe AjudaMatemática.com"Existem 10 tipos de pessoas: as que conhecem o sistema binário e as que não conhecem."
-

Molina
- Colaborador Moderador - Professor

-
- Mensagens: 1551
- Registrado em: Dom Jun 01, 2008 14:10
- Formação Escolar: GRADUAÇÃO
- Área/Curso: Licenciatura em Matemática - UFSC
- Andamento: formado
Voltar para Funções
Se chegou até aqui, provavelmente tenha interesse pelos tópicos relacionados abaixo.
Aproveite a leitura. Bons estudos!
-
- duvidas e + duvidas
por sukita » Ter Out 05, 2010 22:22
- 1 Respostas
- 1672 Exibições
- Última mensagem por MarceloFantini

Ter Out 05, 2010 22:31
Progressões
-
- Duvidas
por Paulo A G » Qua Jan 26, 2011 14:45
- 1 Respostas
- 3000 Exibições
- Última mensagem por Molina

Qua Jan 26, 2011 15:09
Pedidos de Materiais
-
- 2 dúvidas
por analuiza » Qui Fev 17, 2011 23:14
- 1 Respostas
- 2720 Exibições
- Última mensagem por Molina

Sex Fev 18, 2011 13:33
Trigonometria
-
- Dúvidas ....
por vanessa134 » Seg Out 17, 2011 01:06
- 0 Respostas
- 1511 Exibições
- Última mensagem por vanessa134

Seg Out 17, 2011 01:06
Álgebra Elementar
-
- Dúvidas D:
por Aliiine » Seg Out 24, 2011 11:12
- 1 Respostas
- 2027 Exibições
- Última mensagem por jose henrique

Seg Out 24, 2011 22:47
Estatística
Usuários navegando neste fórum: Nenhum usuário registrado e 1 visitante
Assunto:
Taxa de variação
Autor:
felipe_ad - Ter Jun 29, 2010 19:44
Como resolvo uma questao desse tipo:
Uma usina de britagem produz pó de pedra, que ao ser depositado no solo, forma uma pilha cônica onde a altura é aproximadamente igual a 4/3 do raio da base.
(a) Determinar a razão de variação do volume em relação ao raio da base.
(b) Se o raio da base varia a uma taxa de 20 cm/s, qual a razão de variação do volume quando o raio mede 2 m?
A letra (a) consegui resolver e cheguei no resultado correto de

Porem, nao consegui chegar a um resultado correto na letra (b). A resposta certa é
Alguem me ajuda? Agradeço desde já.
Assunto:
Taxa de variação
Autor:
Elcioschin - Qua Jun 30, 2010 20:47
V = (1/3)*pi*r²*h ----> h = 4r/3
V = (1/3)*pi*r²*(4r/3) ----> V = (4*pi/9)*r³
Derivando:
dV/dr = (4*pi/9)*(3r²) -----> dV/dr = 4pi*r²/3
Para dr = 20 cm/s = 0,2 m/s e R = 2 m ----> dV/0,2 = (4*pi*2²)/3 ----> dV = (3,2/3)*pi ----> dV ~= 1,066*pi m³/s
Assunto:
Taxa de variação
Autor:
Guill - Ter Fev 21, 2012 21:17
Temos que o volume é dado por:
Temos, portanto, o volume em função do raio. Podemos diferenciar implicitamente ambos os lados da equação em função do tempo, para encontrar as derivadas em função do tempo:
Sabendo que a taxa de variação do raio é 0,2 m/s e que queremos ataxa de variação do volume quando o raio for 2 m:

Powered by phpBB © phpBB Group.
phpBB Mobile / SEO by Artodia.