por jamiel » Ter Jun 28, 2011 01:25
A meia vida do palácio-100 é de quatro dias.( Assim, a metade de qualquer quantidade de Pd 100 vai se desintegrar em 4 dias) . A massa inicial de uma amostra é 1 grama.
a) Encontre a massa restante após 16 dias;
b) Encontre a massa m(t) após t dias
c) Encontre a função inversa de m(t) e explique seu significado
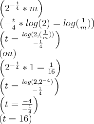
d) Quando a massa ficará reduzida a 0,01 g?
a)

b)

c)

d)

Se alguém puder me ajudar nesta questão também, eu agradeço. Mais uma vez, dúvida com a inversa!
-
jamiel
- Colaborador Voluntário

-
- Mensagens: 131
- Registrado em: Seg Jan 31, 2011 15:48
- Formação Escolar: ENSINO MÉDIO PROFISSIONALIZANTE
- Área/Curso: Mecânica
- Andamento: cursando
Voltar para Funções
Se chegou até aqui, provavelmente tenha interesse pelos tópicos relacionados abaixo.
Aproveite a leitura. Bons estudos!
-
- Dúvida Função
por RJ1572 » Qui Abr 08, 2010 23:22
- 3 Respostas
- 2178 Exibições
- Última mensagem por Elcioschin

Sex Abr 09, 2010 13:22
Funções
-
- Dúvida Função
por vb_evan » Sáb Jul 03, 2010 09:18
- 4 Respostas
- 2712 Exibições
- Última mensagem por vb_evan

Qua Jul 07, 2010 09:35
Funções
-
- Função - puc-mg dúvida
por gustavoluiss » Sáb Jan 08, 2011 17:07
- 10 Respostas
- 5372 Exibições
- Última mensagem por Renato_RJ

Sáb Jan 08, 2011 22:49
Funções
-
- Duvida no zero da função
por igorcalfe » Sex Mar 11, 2011 18:14
- 2 Respostas
- 1813 Exibições
- Última mensagem por igorcalfe

Ter Mar 15, 2011 23:35
Sistemas de Equações
-
- Função - Exp e Log - Dúvida!
por jamiel » Seg Jun 27, 2011 23:55
- 0 Respostas
- 5760 Exibições
- Última mensagem por jamiel

Seg Jun 27, 2011 23:55
Funções
Usuários navegando neste fórum: Nenhum usuário registrado e 2 visitantes
Assunto:
(FGV) ... função novamente rs
Autor:
my2009 - Qua Dez 08, 2010 21:48
Uma função polinomial f do 1° grau é tal que f(3) = 6 e f(4) = 8.Portanto o valor de f(10) é :
Assunto:
(FGV) ... função novamente rs
Autor: Anonymous - Qui Dez 09, 2010 17:25
Uma função de 1º grau é dada por

.
Temos que para

,

e para

,

.

Ache o valor de

e

, monte a função e substitua

por

.
Assunto:
(FGV) ... função novamente rs
Autor:
Pinho - Qui Dez 16, 2010 13:57
my2009 escreveu:Uma função polinomial f do 1° grau é tal que f(3) = 6 e f(4) = 8.Portanto o valor de f(10) é :
f(x)= 2.x
f(3)=2.3=6
f(4)=2.4=8
f(10)=2.10=20
Assunto:
(FGV) ... função novamente rs
Autor:
dagoth - Sex Dez 17, 2010 11:55
isso ai foi uma questao da FGV?
haahua to precisando trocar de faculdade.
Assunto:
(FGV) ... função novamente rs
Autor:
Thiago 86 - Qua Mar 06, 2013 23:11
Saudações!
ví suaquestão e tentei resolver, depois você conta-me se eu acertei.
Uma função de 1º grau é dada por y=3a+b
Resposta :
3a+b=6 x(4)
4a+b=8 x(-3)
12a+4b=24
-12a-3b=-24
b=0
substituindo b na 1°, ttenho que: 3a+b=6
3a+0=6
a=2
substituindo em: y=3a+b
y=30+0
y=30

Powered by phpBB © phpBB Group.
phpBB Mobile / SEO by Artodia.